• The valuable work done by James Clerk Maxwell helped in discovering electromagnetic waves. The time varying fields are involved in the experiments of Faraday, Hertz and the theoretical analysis done by Maxwell.
Maxwell's Equations
AU
Dec.-02, 04, 05, 09, 13, 14 06, 07, 08, 10, 11, 12, 16, 17, 18, May-04, 05, 06,
10, 12, 14, 08, 11, 16, 17, 18
•
We have previously studied that a static electric field
can exist
without a magnetic field
demonstrated by a capacitor with a static
charge Q. Similarly a conductor with a constant current I has a magnetic field
in the absence of an electric field
But in case of the time variable
fields,
cannot exist without each other.
•
The valuable work done by James Clerk Maxwell helped in discovering
electromagnetic waves. The time varying fields are involved in the experiments
of Faraday, Hertz and the theoretical analysis done by Maxwell.
•
Maxwell's equations are nothing but a set of four expressions derived from
Ampere's circuit law, Faraday's law, Gauss's law for electric field and Gauss's
law for magnetic field. These four expressions can be written in following
forms.
•
Thus Maxwell's equations are nothing but the equations describing relationships
between changing electric and magnetic fields. The Maxwell's equations in
integral form govern the independence of fields like
, along with
soruces of fields like charge and current associated with different regions in
the space like surfaces and volumes. On the other hand, the Maxwell's equations
in point form or differential form explains the characteristics of different
field vectors at a given point to each other as well as to the charge and
current densities at that point.
•
Basically the Maxwell’s equations are very important equations as they are
found to be the basic mathematical background for the theory of an
electromagnetic waves, transmission lines and also even study of antennas. Thus
the applications of the electromagnetic fields can be verywell studied with the
help of Maxwell's equations.
•
Let us now discuss Maxwell's equations for static fields first and then for
time varying fields.
•
The basic Maxwell's equations for static fields are derived from Faraday's law,
Ampere circuit law, Gauss's law for electrostatic field and Gauss's law for
magnetostatic field.
A]
Maxwell's Equation Derived from Faraday's Law
•
According to the basic concept from an electrostatic field, the work done over
a closed path or closed contour (i.e. starting point same as terminating point)
is always zero. Mathematically it is represented as,

•
The equation (9.5.1 (a)) is called integral form of Maxwell's equation derived
from Faraday's law for static field.
•
Now using Stake's theorem converting the closed line integral into the surface
integral, we get,

•
The equation (9.5.1 (b)) is called point or differential form of Maxwell's
equation derived from Faraday's law for static fields.
B]
Maxwell's Equation Derived from Ampere's Circuit Law
•
According to basic concept from magnetostatics an Ampere's circuital law states
that the line integral of magnetic field intensity
around a closed
path is exactly equal to the direct current enclosed by that path.
Mathematically it is given as,

•
The integral in above expression should be current enclosed by the differential
element. Now the current enclosed is equal to the product of current density
normal to closed path and area of closed path. Hence we get,

•
The equation (9.5.2 (a)) is called integral form of Maxwell's equation derived
from Ampere's circuit law for static field.
•
Now to relate
, converting closed line integral on
L.H.S. of the equation (9.5.2 (a)) to surface integral using Stake's theorem,
we get

•
The equation (9.5.2 (b)) is called point or differential form of Maxwell's
equation derived from Ampere's circuit law for static field.
C]
Maxwell's Equation Derived from Gauss's Law for Electrostatic Fields
•
According to Gauss's law for electrostatic field, the electric flux passing
through any closed surface is equal to the total charge enclosed by that
surface. Mathematically we can write,

•
The most common form to represent Gauss's law mathematically is with volume
charge density ρv. Hence we can write,

•
The equation (9.5.3 (a)) is called integral form of Maxwell's equation derived
from Gauss's law for static electric field.
•
To establish relationship between
and ρv, converting closed surface
integral into volume integral using Divergence theorem as,

•
Comparing above equation with equation (9.5.3 (a)), we can write,

•
The equation (9.5.3 (b)) is called point or differential form of Maxwell's
equation derived from Gauss's law for static electric field.
D]
Maxwell's Equation Derived from Gauss's Law for Magnetostatic Field
•
According to the Gauss's law for the magnetostatic field, the magnetic flux
cannot reside in a closed surface due to the non existance of single magnetic
pole.
•
Mathematically we can write,

•
The equation (9.5.4 (a)) is called integral form of Maxwell's equation derived
from Gauss's law for static magnetic field.
•
Now using divergence theorem, we can write,

• The equation (9.5.4 (b)) is called point or differential form of Maxwell's equation derived from Gauss's law for static magnetic field.
2. Maxwell's Equations for Time Varying Fields
•
Similar to the static fields, the Maxwell's equations for the time varying
fields are derived from Faraday's law, Ampere's circuit law, Gauss's law for
electric field and Gauss's law for magnetic field.
A]
Maxwell's Equation Derived from Faraday's Law
•
Now consider Faraday's law which relates e.m.f. induced in a circuit to the
time rate of decrease of total magnetic flux linking the circuit. In general we
can write,

•
This is Maxwell's equation derived from Faraday's law expressed in integral
form.
Statement
:
"The total electromotive force (e.m.f.) induced in a closed path is equal
to the negative surface integral of the rate of change of flux density with
respect to time over an entire surface bounded by the same closed path."
•
Using Stake's theorem, converting line integral of equation (9.5.5) to the surface
integral,

•
Assuming that the integration is carried out over the same surface on both the
sides, we get,

•
This is Maxwell's equation derived from Faraday's law expressed in point form
or differential form.
B]
Maxwell's Equation Derived from Ampere's Circuit Law
•
According to Ampere's circuit law, the line integral of magnetic field
intensity
around a closed path is equal to the current enclosed by
the path.

•
Replacing current by the surface integral of conduction current density
over
an area bounded by the path of integration of
, we get more general
relation as,

•
Above expression Scan be made further general by adding displacement current
density to conduction current density as follows,

•
Equation (9.5.6(a)) is Maxwell's equation derived from Ampere's circuit law.
This equation is in integral form in which line integral of
is carried
over the closed path bounding the surface S over which the integration is
carried out on R.H.S. In the circuit theory, closed path is called Mesh. Hence
the equation considered above is also called Mesh equation or Mesh relation.
Statement
:
"The total magnetomotive force around any closed path is equal to the
surface integral of the conduction and displacement current densities over the
entire surface bounded by the same closed path."
•
Applying Stake's theorem to L.H.S. of the equation (9.5.6(a)), we get,

•
Assuming that the surface considered for both the integrations is same, we can
write,
...
(9.5.6(b))
•
Above equation is the Point form or differential form of Maxwell's equation
derived from Ampere's circuit law.
C]
Maxwell's Equation Derived from Gauss's Law for Electric Field
•
According to Gauss's law, the total flux out of the closed surface is equal to
the net charge within the surface. This can be written in integral form as,
... (9.5.7)
•
If we replace R.H.S. of above equation by the volume integral of volume charge
density ρ v through the volume enclosed by the surface S considered for
integration at L.H.S. of equation (9.5.7), we get more general form of equation
given by
... (9.5.7(a))
•
This equation is called Maxwell's equation for electric fields derived from
Gauss's law, expressed in integral form and applied to a finite volume.
Statement
:
"The total flux leaving out of a closed surface is equal to the total
charge enclosed by a finite volume."
• Using divergence theorem, we can write

•
Assuming same volume for integration on both the sides,
...
(9.5.7(b))
•
This is Maxwell's equation for electric fields derived from Gauss's law which
is expressed in point form or differential form.
D]
Maxwell's Equation Derived from Gauss's Law Magnetic Fields
•
For magnetic fields, the surface integral of
over a closed surface S
is always zero, due to non existence of monopole in the magnetic fields.
•
This is Maxwell's magnetic field equation expressed in integral form. This is
derived for Gauss's law applied to the magnetic fields.
Statement
:
"The surface integral of magnetic flux density over a closed surface is
always equal to zero."
Using
divergence theorem, the surface integral can be converted to volume integral
as,

•
This is differential form or point form of Maxwell's Equations derived from
Gauss’s law applied to the magnectic fields.
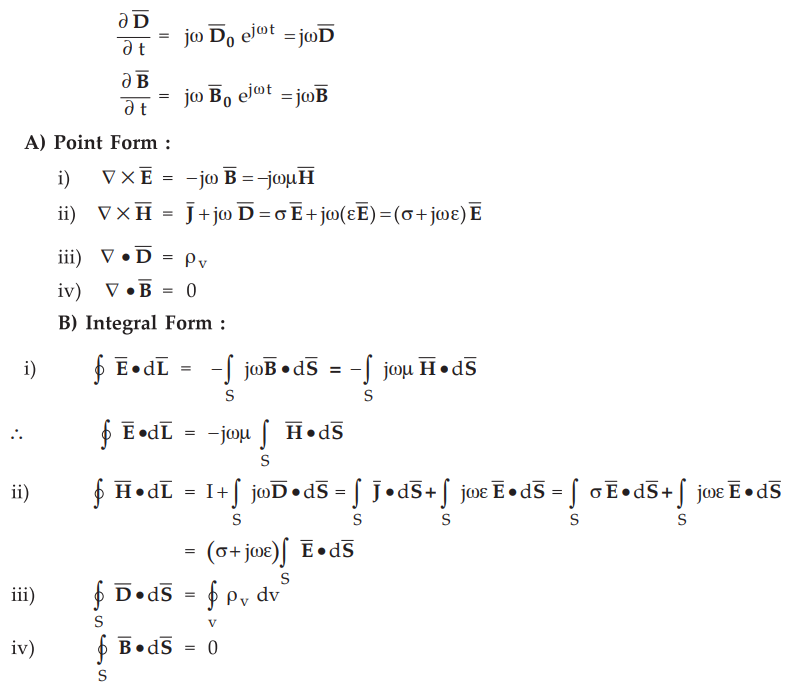
Table
9.5.1 summarizes Maxwell’s equations

a.
Maxwell's Equations for Free Space
•
In the previous section, we have obtained Maxwell's equations in integral and
point form. Let us consider now free space as a medium in which fields are
present. Free space is a non-conducting medium in which volume charge density ρv
is zero and conductivity σ is also zero.
•
The Maxwell's equation, in the free space are as mentioned below.

b.
Maxwell's Equations for Good Conductor
•
It is clear from the type of the medium, that the conductivity is very high. So
for good conductors we can write,

•
The Maxwell's equations for good conductor medium are as follows.

c.
Maxwell's Equations for Harmonically Varying Filds
•
Let us assume that the electric and magnetic fields are varying harmonically
with time. The electric flux density can be written as,

•
Similarly the magnetic flux density can be written as,

•
Taking partial derivative with respect to time, we can write,

Ex.
9.5.1 If
, Find the value of k to satisfy the Maxwell's equations
for region σ = 0, ρv = 0.
Sol.
:
As σ = 0 and ρv
= 0, the medium in which
are present is nothing but free space.
So the Maxwell's equation obtained from Gauss's law is given by,

Ex.
9.5.2 A certain material has σ =0 and µr
=1 If
making use of Maxwell's equations, find Ɛr and 
Sol. :


Ex.
9.5.4 The magnetic field intensity in free space is given as
is
constant. Determine the current density vector
.
AU
: Dec.-09, Marks 6
Sol.
:
According to Maxwell’s second equation for free space in the point form,



Examples
for Practices
Ex.
9.5.7 In the charge free region, the magnetic
field intensity is given by :

Ex.
9.5.8 Let µ = 10-5H/m. Ɛ = 4 ×
10-9 F / m. σ = 0, ρv = 0.
Find
K (including units) so that each of the following pairs of field satisfies
Maxwell's equations :

Ex.
9.5.9 A certain material has σ = 0, µr = 1.
Make a use of Maxwell’s equation to find Ɛr = 8.9877
Ans
. : 8.9877
Review Questions
1. Derive and explain Maxwell's equations both in integral and
point forms.
AU : May-06, 10,16, 17, 18, Dec.-09, 10, 06, 05, 07, 08, 17, 13,
16, Marks 16; Dec.-14, 18, Marks 10
2. Derive the Maxwell's equations for fields varying
harmonically with time.
AU : May-04, Marks 3, Dec.-12, 13, Marks 16
3. Derive Maxwell's equation in point form and integral form
using Ampere's law, Faraday's law and Gauss law.
AU : May-11, 12, 14, Dec.-04, Marks 16
4. State and explain Maxwell's equations and give their physical
significances.
AU : May-05, Dec.-02, 06, Marks 10
Electromagnetic Theory: Unit IV: Time Varying Fields and Maxwells Equations : Tag: : Static Fields and Time Varying Fields - Maxwell's Equations
Electromagnetic Theory
EE3301 3rd Semester EEE Dept | 2021 Regulation | 3rd Semester EEE Dept 2021 Regulation