This method is very useful in finding the general solution of the second order equation
METHOD OF
VARIATION OF PARAMETERS.
This
method is very useful in finding the general solution of the second order
equation
d2y/dx2
+ a1dy/dx+a2 y = X [where 'X' is a function of
x]... (1)
The
complementary function of (1)
C.F
= C1f1 + C2f2 .......(2)
where
C1, C2 are constants and f1 and f2
are functions of x.
Then,
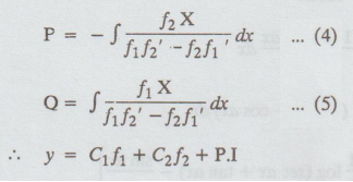
P.I
= P f1 + Q f2 ............(3)

y=
C1f1+ C2f2 + P.I
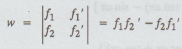
Note:
The Wronskian of f1, f2 of (1) is given by

Probability and complex function: Unit V: Ordinary Differential Equations : Tag: : Ordinary Differential Equations - Method of variation of parameters
Probability and complex function
MA3303 3rd Semester EEE Dept | 2021 Regulation | 3rd Semester EEE Dept 2021 Regulation