Electric Circuit Analysis: Model Question and Answer : Model Question Paper - II
MODEL QUESTION PAPER
- II
1. How are the following affected
by change of frequency?
(a) Resistance, (b) Inductive
reactance
Ans:
(a)
Resistance is independent of frequency. That is, it is not affected by
frequency.
(b)
Inductive reactance XL = 2π ƒ
L
.XL
∞ f
That
is, inductive reactance changes proportional to frequency.
2.Define 'Nodal analysis' of a
circuit.
Ans:
Nodal
analysis is the method of solving a given network. It is used to find the
voltages for given currents. If the network consists of n nodes, one of them is
taken as reference node. Then other node voltages are considered as unknown
voltages. There are (n - 1) such voltages. At each node of these nodes, KCL is
applied. The equations obtained are known as node equations. They are solved to
find the node voltages with reference to the reference voltage.
3. Define 'Mesh analysis' of a
circuit.
Ans:
It is one of the methods to solve an electrical network. Here we have to assign
loop currents to all independent loops and apply KVL to each loop. Then we have
to solve the equations for the loop currents. From this, branch currents can be
calculated.
4. Give a delta circuit having
resistors, write the required expressions to transform the circuit to a star
circuit.
Solution:

RA
= RAB × RCA / ∑RAB
RB
= RAB × RCA / ∑RAB
and RC = RBC × RCA / ΣRAB
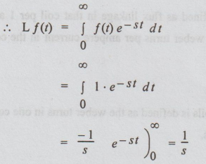
5. Determine the Laplace transform
for the unit step function u (t).
Ans:
f(t)
= u(t)
Here
u(t) = 1 for t > 0
α
= 0 for t < 0

Lu(t) = 1 /s
16. Write down the condition for
critically damped response of a series RLC circuit excited by a sinusoidal AC
source.
Ans:
(R/2L)2
= (1/LC)
7. Three inductive coils each
having resistance of 10Ω and reactance of j12Ω are connected in star across a
400V, 3 ϕ,
50 Hz supply. Calculate phase voltage.
Ans:
Unless otherwise stated, for a star connection, given voltage is considered as
line voltage.
So,
Line voltage = 400 volts.
Phase
voltage = Line voltage / √3
=
400 / √3 = 231 volts
8. A three phase motor can be
regarded as a balanced Y load. A three phase motor draws 5.6 kW when the line
voltage is 220V and the line current is 18.2A. Determine the power factor of
the motor.
Ans:
VL
= 220 Volts
IL
= 18.2 A
Real
Power P = 5600 Watts
But
P = √3 VLIL COS ϕ
Substituting
the values, we get
Power
factor = cos ϕ = 0.807
9. Define self inductance
The
self inductance of a coil is defined as flux linkage in that coil per 1 ampere
current in the same coil. It is also defined as the weber turns per ampere
current in the coil. L is measured in Henry.
10. Define Mutual inductance
The
mutual inductance between 2 coils is defined as the weber turns in one coil per
ampere current in other coil. It is measured in henrys.
Electric Circuit Analysis: Model Question and Answer : Tag: : Electric Circuit Analysis - Model Question Paper with Answer - 2 (PART A)
Electric Circuit Analysis
EE3251 2nd Semester 2021 Regulation | 2nd Semester EEE Dept 2021 Regulation