Physics for Electrical Engineering: Unit IV: Optical Properties of Materials : Part A '2' Marks Q and A
Part A '2' Marks Q & A
1.
What are optical materials?
The
materials which are sensitive to light are known as Optical materials. These
optical materials exhibit a variety of optical properties.
2.
What are the type of optical materials?
Generally,
optical materials are classified into three types based on the nature of
propagation of light namely,
(i)
Transparent
(ii)
Translucent
(iii)
Opaque
3.
Define scattering of light.
It
is a process by which the intensity of the wave attenuates as it travels
through a medium.
4.
Define carrier generation and recombination.
The
carrier generation is the process whereby electrons and holes are created. The
recombination is the process whereby electrons and holes are annihilated.
5.
What are types of carrier generations?
(i)
Photogeneration
(ii)
Phonon generation
(iii)
Impact ionization
6.
What are types of recombination process?
(a)
Radiative Recombinationstr
(b)
Shockley-Read-Hall Recombination
(c)
Auger Recombination
7.
What is solar cell?
It
is a P-N junction diode which converts solar energy (light energy) into
electrical energy.
8.
What is LED?
It
is a p-n junction diode which emits light when it is forward biased.
9.
What is the basic principle behold LED?
The
injection of electrons into the p- region from n- region makes a direct
transition from the conduction band to valence band. Then, the electrons
recombine with holes and emits photons of energy Eg
The
forbidden gap energy is given by
Eg
= hv ... (1)
10.
What are the advantages of LEDs?
•
LEDs are smaller in size. A number of LEDs can be stacked together in a small
space to form numerical display.
•
LED's can be turned ON and OFF in less than 1 nano second (10 second). So, they
are known as fast devices.
•
Variety of LEDs are available which emit light in different colours like red,
green, yellow etc.
•
Light modulation can be achieved with pulse supply.
•
It has long life time.
•
It has low drive voltage and low noise. 9 JadW 8
•
It is easily interfaced to digital logic circuits.
•
It can be operated over a wide range of temperatures.
11.
What are the disadvantages of LEDs?
•
They require high power.
•
Their preparation cost is high when compared to LCD.
12.
What are the applications uses of LEDs?
•
Because of their miniature size, they are widely used in dino numeric and
alphanumeric display devices.
•
They are used as indicator lamps.
•
They are used as light sources in fiber-optic communication system.
•
LEDs are used in burglar alarms.
•
They are used in image sensing circuits used for picture phone.
13.
What is an organic light emitting diodes?
Organic
light emitting diodes (OLEDs) are solid state devices made up of thin films of
organic molecules that produce light with the application of electricity.
14.
What are advantages of OLED?
•
OLED's are tough enough to use in portable devices such as cellular phones,
digital video cameras, DVD players, car audio equipment etc., (boo
•
Can be viewed up to 160 degrees.
•
High information applications including videos and graphics (Active matrix)
•
OLEDs are paper-thin.
•
Upto 20% to 50% cheaper than LCD processes.
•
They hold the ability to handle
streamlined video, which could revolutionize the display and cellular phone
market.
•
Takes less power.
15.
What are drawbacks of OLED?
•
The biggest technical problem for OLEDs is the limited lifetime of the organic
materials.
•
The intrusion of water into displays can damage or destroy the organic
materials.
•
Color The reliability of the OLED
is still not upto the mark. After a month of use, the screen becomes
non-uniform.
16.
What are the applications of OLED?
•
OLED technology is used in commercial applications such brs as small screens
for mobile phones and portable digital audio players (MP3 players), car radios,
digital cameras and high-resolution micro displays for head-mounted displays.
•
They can be used in television screens, computer displays, advertising,
information and indication.
•
OLEDs can also be used in light sources for general space illumination and
large-area light-emitting elements.
17.
What is a laser diode?
It
is a specially fabricated pn junction diode. This diode emits laser light when
it is forward - biased.
18.
What are the advantages of Laser diodes?
•
This laser is very small in size and compact.
•
It has high efficiency.
•
The laser output can be easily increased by increasing the junction current.
•
It is operated with less power than ruby and CO2 lasers.
•
It requires very little additional equipment.
•
It emits a continuous wave output or pulsed output.
19.
What are the applications of Laser diodes?
•
Used in fibre optic communication.
•
Used in various measuring devices such as range finders, bar-code readers.
•
Used in printing industry both as light sources for scanning images and for
resolution printing plate manufacturing.
•
Infrared and red laser diodes are common in CD players, CD-ROM and DVD
technology. Violet lasers are used in HD-DVD and Blue-ray technology.
•
High power laser diodes are used in industrial applications such as heat
treating, cladding, seam welding and for pumping other lasers.
•
Used in laser medicine especially, dentistry.
20.
What is Franz-Keldysh effect? (April 2002)
•
The change in absorption in a semiconductor in the presence of a strong
electric field is called Franz Keldysh effect. Since the energy
of photon hu is less than energy gap, there is no absorption of photon in the
absence of electric field. But in the presence of a strong electric field
bending of bands occurs and the tunneling probability of photon absorbed
electron from valence band to conduction band increases. Thus due to
application of the field absorption changes.
21.
What is Stark effect? (April 2002)
The
change in atomic energy upon the application of an electric field is called the
Stark effect. The electric field affects the higher order, or outer orbits of
electrons and splitting of energy states occurs. This reduces the bandgap.
22.
What is meant by electroabsorption?
Both
Franz-Keldysh and Stark effects results in absorption of photons with energies
smaller than the bandgap with application of an electric field. This phenomenon
is known as electroabsorption.
23.
What is meant by quantum confined Stark effect?
In
quantum well structure, with the application of an electric field, the electron
and hole wavefunctions are seperated and pushed towards opposite sides of the
well. The reduced overlap results in corresponding reduction in absorption.
This results in a shift of the absorption spectrum to longer wavelength (red
shift). This shift is known as the quantum confined Stark effect.
24.
What is electro optic effect?
Changing
the refractive index and other characteristics of a medium by the application
of electric field is called electro-optic effect.
25.
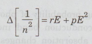
What are Pockel's effect and kerr effect?
Due
to electro optic effect the refractive index of a material changes with applied
field as

where
r is the linear electro optic coefficient. P is the quadratic electro optic
coefficient. The linear variation of the refractive index is called Pockels
effect and quadratic variation is called Kerr effectiqqs
Physics for Electrical Engineering: Unit IV: Optical Properties of Materials : Tag: : Optical Properties of Materials | Physics for Electrical Engineering - Part A - 2 Marks Questions and Answer
Physics for Electrical Engineering
PH3202 2nd Semester 2021 Regulation | 2nd Semester EEE Dept 2021 Regulation