The force on a charge in the field is measured by electric field intensity which is equal to the force in newtons per coulomb on a coulomb of charge at the point considered and is measured in volts per metre.
Potential at a Conductor
in a Group of Charged Conductors
The potential difference between any two
points is nothing but the work done in joules per coulomb required to move a
coulomb of charge between the two points. The force on a charge in the field is
measured by electric field intensity which is equal to the force in newtons per
coulomb on a coulomb of charge at the point considered and is measured in volts
per metre.
Consider a long straight wire carrying
positive charge of q c/m as shown in the Fig. 1.26.1.

Consider two points P1 and P2
located at a distances of D1 and D2 from centre of wire.
There is positive charge on wire which will repel when a positive charge is
placed in the field. If we want to move charge from point P2 to P1
then work must be done on positive charge. Here Pi is at higher potential than
P2. If the charge moves from P1 to P2, it expends energy
which is nothing but voltage drop from P1 to P2. The path
followed does not affect the potential difference.
In order to find the voltage drop from
Px to P2 is to obtain the voltage between equipotential surfaces passing
through P1 and P2.
The voltage drop between P1
and P2 is,

The voltage drop between two points may
be either positive or negative depending upon the charge causing the potential
difference is positive or negative. It also depends upon whether the voltage
drop is computed from a point near the conductor to a point far away or
viceversa.
Consider a system of say m conductors
having radius r forming a circuit. This is shown in the Fig. 1.26.2.

Let qa, qb , ... qm
be the charge in coulombs on the conductors. The spacing of conductors b,
c, d ... m from conductor a is denoted by Dab,Dac,Dad
... Dam are assumed to be large as compared with their radii. So the
distribution of charge is uniform around the periphery of each conductor.
In order to find the potential
difference between any two conductors, the principle of superposition can be
used. According to this principle, the difference of potential between two
charged conductors is equal to the potential difference due to charge on first
conductor alone, plus the potential difference due to charge on second
conductor alone, plus the potential difference due to charge on third conductor
alone and so on due to other charged conductors in the field.
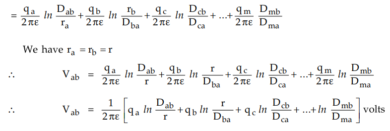
The potential difference between conductors
a and b is given by,
Vab = Potential difference
between a and b due to charge qa on a
+ Potential difference between a and b
due to charge qb on a
+
... + Potential difference between a and b due to charge qm on m

Similar expressions for the potential
difference between a and other conductors can be obtained. For example

Under normal working conditions, qa
+ qb + qc + ... + qm = 0
The equations as obtained above will be
utilized in further sections to find the capacitance per unit length of a
conductor.
Review Question
1. Give an expression for potential difference between two
conductors a and b in a system of m conductors.
Transmission and Distribution: Unit I: Transmission Line Parameters : Tag: : - Potential at a Conductor in a Group of Charged Conductors
Transmission and Distribution
EE3401 TD 4th Semester EEE Dept | 2021 Regulation | 4th Semester EEE Dept 2021 Regulation