Probability and complex function: Unit V: Differential equations : Case (a): Straight case Case (b): Sum case (c) : Modified Case : Example
Problems based on, to find the particular integral by the method
of undetermined coefficients.
Example
5.5(a) (1) Solve: (D2 - 3D + 2) y = 6 e3x
Solution
:
Given:
y' - 3y' + 2y = 6e3x … (1)
The
auxiliary equation is m2 - 3m + 2 = 0
⇒ m = 1, m = 2
(C.F)
yc = A ex + Be2x … (2)
Here,
the solution set S = {ex, e2x}
R.H.S
of (1) is not a member of S.

Example
5.5.a(2) Solve: y'' + 6y' + 5y = 2ex + 10 e5x
Solution
:
Given:
y'+6y' +5y=2ex + 10 e5x … (1)
The
auxiliary equation is m2 + 6m + 5 = 0
⇒ m = -1, m = -5

Example
5.5.a(3) Solve : d2y/dx2 + 9y = cos 2x
Solution
:
Given:
y' + 9y = cos 2x … (1)
The
auxiliary equation is m2 + 9 = 0
⇒ m ± 3i
(C.F) ye = A cos 3x + B sin 3x … (2)
Here,
the solution set S = (cos 3x, sin 3x)
R.H.S
of (1) is not a member of S.

Example
5.5.a(4) Solve: y" + 2y' + 4y = 13 cos (4x - 2)
Solution
:
Given:
y' + 2y' + 4y = 13 cos (4x-2) … (1)
The
auxiliary equation is m2 + 2m + 4 = 0
⇒ m = -1 ± √3 i

Example
5.5a(5) Solve: y" +2y' + 5y = 6 sin 3x + 7 cos 3x
Solution
:
Given:
y' + 2y' + 5y = 6 sin 3x + 7 cos 3x ... (1)
The
auxiliary equation is m2 + 2m + 5 = 0
⇒ m = -1 ± 2i
(C.F)
yc = e-x [A cos 2x + B sin 2x]
Here,
the solution set S = {e-x cos 2x, e-x sin 2x}
R.H.S
of (1) is not a member of S

Example
5.5.a(6) Solve: y" - y = ex sin 2x
Solution
:
Given:
y" - y = ex sin 2x … (1)
The
auxiliary equation is m2 - 1 = 0
⇒ m = ±1,
i.e., m = 1, m = -1
(C.F)
yc = Aex + Be-x
…
(2)
Here,
the solution set S = {ex, e-x}
R.H.S
of (1) is not a member of S

Example
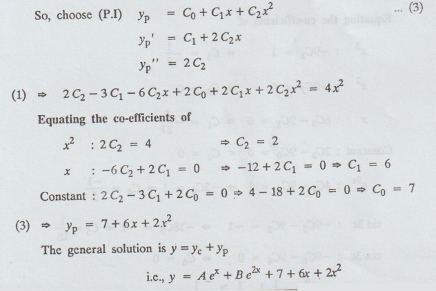
5.5.a(7) Solve : y" - 3y' + 2y = 4x2
Solution
:
Given:
y" - 3y' + 2y = 4x2 … (1)
The
auxiliary equation is m2 - 3m + 2 = 0
⇒ m = 1, m = 2
(C.F) yc = A ex + Be2x
… (2)
Here,
the solution set S = {ex, e2x}
R.H.S
of (1) is not a member of S

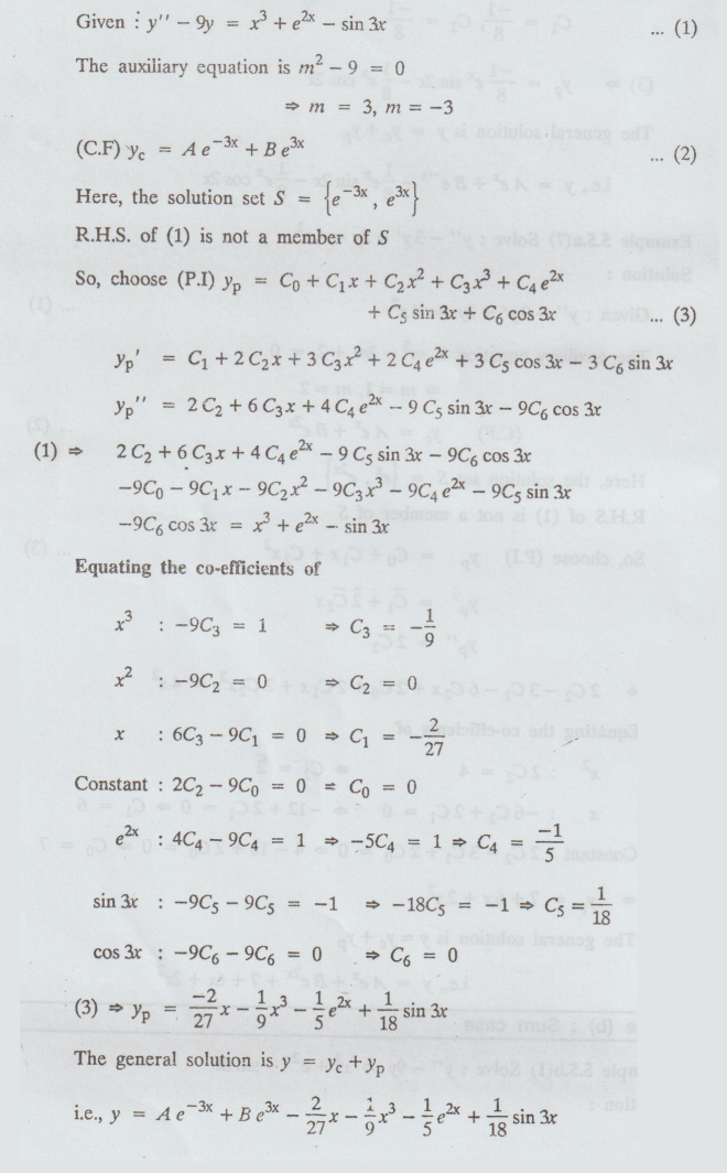
Example 5.5.b(1) Solve: y" - 9y = x3 + e2x - sin 3x
Solution
:
Given
y" - 9y = x3 + e2x - sin 3x
The
auxiliary equation is m2 - 9 = 0
⇒ m = 3, m = -3
(C.F)
yc = A e-3x + Be3x
Here,
the solution set S = {e-3x, e3x}
R.H.S.
of (1) is not a member of S

Example
5.5.b(2) Solve: (D2 - 2D + 3) y = x3 + cos x
Solution
: y'' - 2y' + 3y = x3 + cos x … (1)
The
auxiliary equation is m2 - 2m + 3 = 0
⇒ m = 1 ± √2 i

Example
5.5.b(3) Solve : d2y/dx2 + dy/dx – 2y = x + sin x
Solution
:
Given:
y'' + y' - 2y = x + sin x … (1)
The
auxiliary equation is m2 + m - 2 = 0
⇒ m = 1, m = -2
(C.F)
yc = Aex + Be-2x
Here,
the solution set S = {ex, e -2x}
R.H.S
of (1) is not a member of S.

Example
5.5.b(4) Solve (D2 + 3D + 2) y = 4e2x + x by using the method of undetermined
coefficients.
[A.U
N/D 2019 R-17]
Solution:
Given: y'' + 3y' + 2y = 4 e2x + x ... (1)
The
auxiliary equation is m2 + 3m + 2 = 0
⇒ m = -1, m = -2

Example 5.5.c(1) Solve : d2y / dx2 – 5 dy/dx + 6y = e3x + sin x
Solution
:
Given:
y" - 5y' + 6y = e3x + sin x … (1)
The
auxiliary equation is m2 - 5m + 6 = 0 ⇒ m = 3, m = 2
(C.F)
ye Ae2x + Be3x... (2)
Here,
the solution set S = {e2x, e3x}
Normaly
we choose (P.I) yp = C1e3x + C2 sin
x + C3 cos x
First
term in R.H.S of (1) is a member of S.
Here,
the corresponding term should be multiplied by x

Example
5.5.c(2) Solve (D2 + 2D + 1) y = ex sin 2x by using the
method of undetermined co-efficients.
[A.U
A/M 2019 R-17]
Solution:
Given: (D2 + 2D + 1)y = ex sin 2x
The
auxiliary equation is m2 + 2m + 1 = 0
⇒ (m + 1)2 =
0
⇒ m = -1,-1

Example
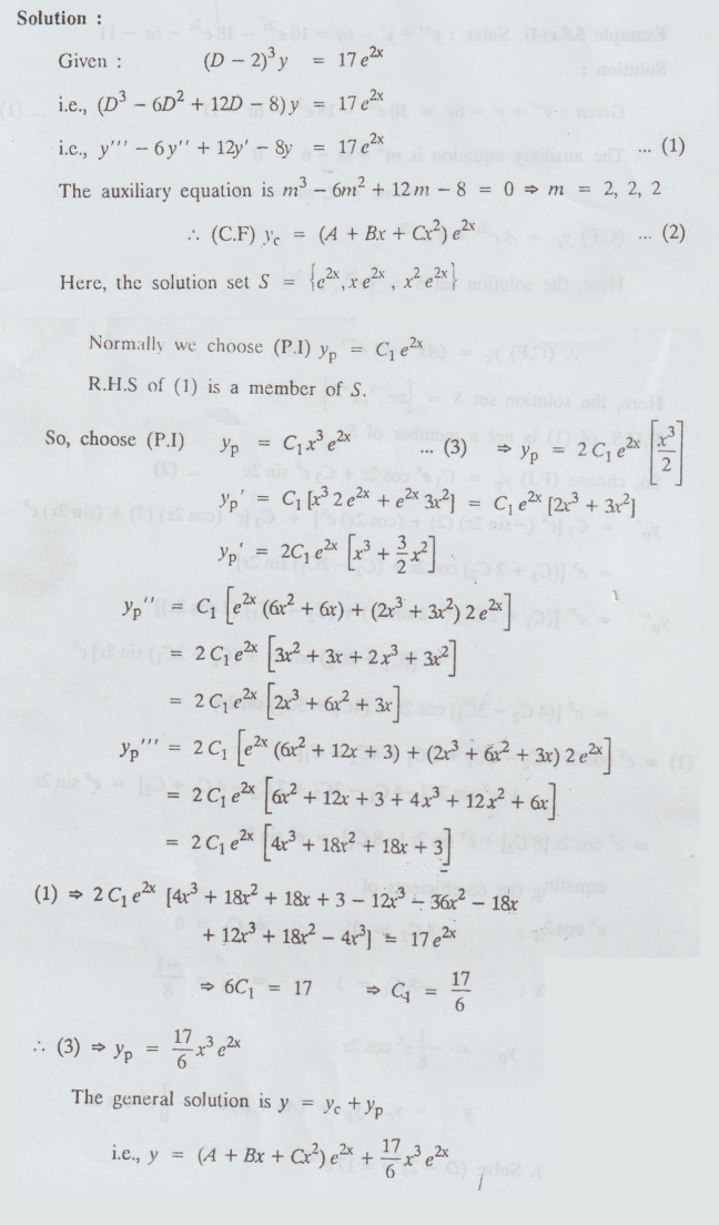
5.5.c(3). Solve (D - 2)3y = 17 e2x
Solution
:
Given:
(D − 2)3 y = 17 e2x

Example
5.5.c(4). Solve : y'' + y' - 6y = 10 e2x - 18 e3x - 6x –
11
Solution
:
Given:
y'' + y' - 6y = 10 e2x - 18 e3x - 6x – 11 … (1)
The
auxiliary equation is m2 + m - 6 = 0
⇒ m = 2, m = -3

Probability and complex function: Unit V: Ordinary Differential Equations : Tag: : Solved Example Problems | Ordinary Differential Equations - Problems based on, to find the particular integral by the method of undetermined coefficients
Probability and complex function
MA3303 3rd Semester EEE Dept | 2021 Regulation | 3rd Semester EEE Dept 2021 Regulation