Probability and complex function: Unit V: Differential equations : Problems based on system of simultaneous linear differential equations with constant co-efficients. : Type I, Type II , Type III.
IV. PROBLEMS BASED ON SYSTEM OF SIMULTANEOUS LINEAR DIFFERENTIAL
EQUATIONS WITH CONSTANT CO-EFFICIENTS.
Example
5.4.1. Solve dx / dt - y = 0, dy / dt + x = 0
[A.U.
A/M. 2008]
Solution:
Given:
Dx
- y = 0 ... (1)
Dy
+ x = 0 … (2)
(1) × D ⇒
D2 x – Dy = 0 … (3)
(2)
× 1 ⇒ Dy + x = 0 … (4)
(3)
+ (4) ⇒ D2 x + x = 0
(D2
+ 1) x = 0
The
auxiliary equation is m2 + 1 = 0
m2
= -1 m = ± i
x
= A cost + B sin t
dx
/ dt = -A sint + B cost
Given:
dx/dt - y = 0⇒
y = dx / dt
⇒ y = -A sint + B cost
Example
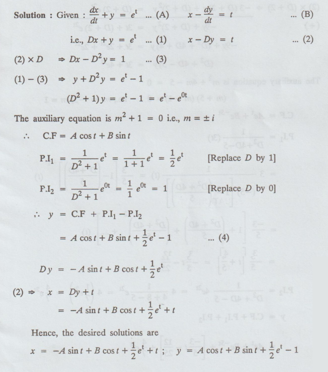
5.4.2 Solve dx / dt + y = et, x – dy / dt = t [A.U N/D 2012, N/D 2014 R13]
Solution:

Example
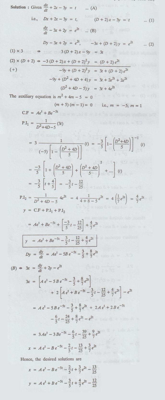
5.4.3. Solve dx/dt + 2x - 3y = t ; dy/dt -3x + 2y = e2t
[A.U. N/D 2007, M/J 2008] [A.U N/D 2016 R-8]
[A.U M/J 2016 R8]
Solution:

Example
5.4.4. Solve : dx/dt – y = t; dy/dt + x = t2 ; Given x (0) = y (0) =
2
[A.U. N/D 2003, N/D 2011, A/M 2011] [A.U M/J
2016 R-13]
Solution:
Given: dx/dt - y = t dy / dt + x = t2

Example
5.4.5. Solve dx/dt + 2x + 3y = 0, 3x + dy/dt + 2y = 2e2t
[A.U. Model] [A.U N/D 2016 R-13]
Solution
:

Example
5.4.6. Solve dx / dt + y = sin t
given
that x = 2 and y = 0 at t = 0
[A.U
April, N/D 2002]
[A.U
M/J 2009]
[A.U
N/D 2015 R-13]
Solution:
Given: Dx + y = sin t ... (1)
x
+ Dy = cos t ... (2)

Example
5.4.7. Solve dx/dt + 2y = -sint, dy/dt – 2x = cos t given x = 1 and
[A.U.
N/D 2010] [A.U M/J 2014 R-13]
[A.U.
A/M 2017 R-8] [A.U D2015/Jan.16 R-8]
Solution:

Example
5.4.8. Solve the simultaneous differential equations
dx/dt
+ 2y = sin, dy/dt – 2x = cos 2t
[A.U N/D 2003, N/D 2009, M/J 2012]
Solution
:

Example
5.4.9. Solve the simultaneous equations.
dx
/ dt + 2x + 3y = 2e2t; dy/dt + 3x + 2y = 0
[A.U. April/May 2003] [A.U A/M 2003, M/J 2010]
[A.U. A/M 2017 R-13]
Solution
:

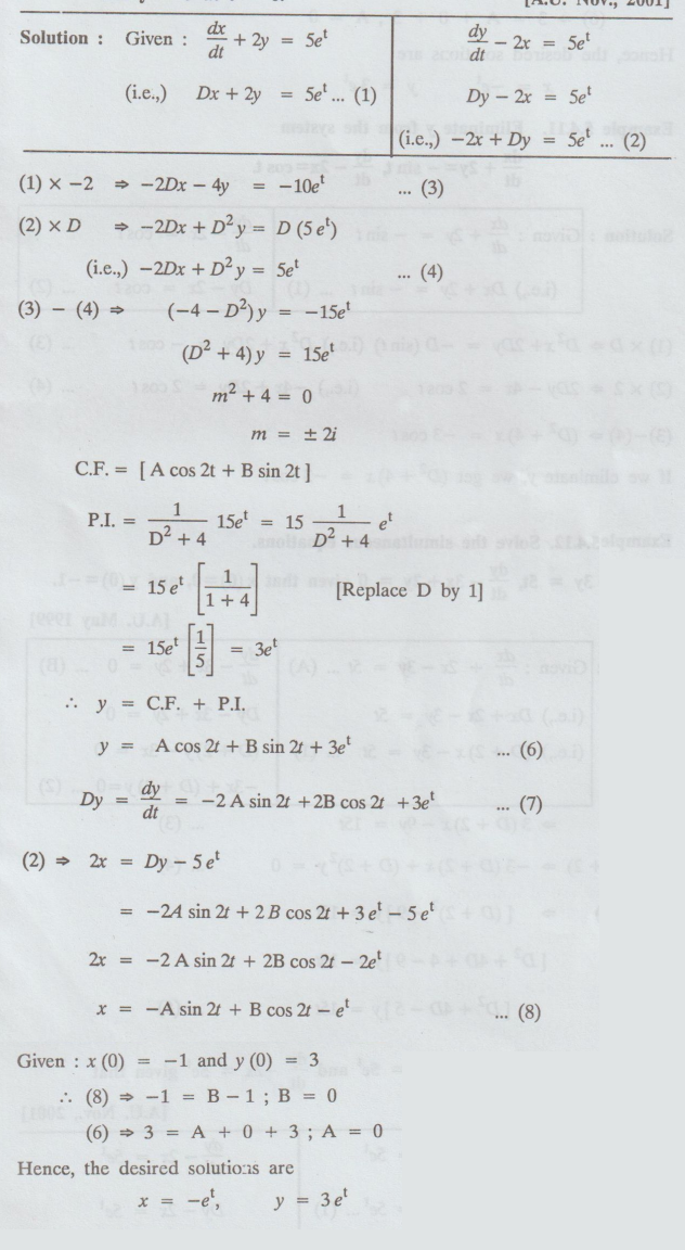
Example
5.4.10. Solve dx/dt + 2y 5et and dy/dt - 2x = 5et = 5e'
given that x = -1 and y = 3 at t = 0.
Solution
:

Example 5.4.11. Eliminate y from the system
dx/dt
+ 2y = - sin t, dy/dt - 2x= cos t.
Solution:

Example
5.4.12. Solve the simultaneous equations.
dx/dt
+ 2x - 3y = 5t, dy/dt - 3x + 2y = 0 given that x (0) = 0, and y (0) = -1.
Solution:

Example
5.4.13. Solve dx/dt - 7x + y = 0, dy/dt
- 2x - 5y = 0
Solution
:

Example
5.4.14. Solve the simultaneous differential equations :
dx/dt
+ dy/dt + 3x = sin t, dx/dt + y – x = cos t
[A.U A/M 2015 R-13] [A.U A/M 2019 R-17]
Solution:

Example
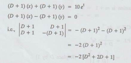
5.4.15. Solve dx/dt + dy/dt + x + y = 10 et
Solution
:

Note
:
Consider the determinant coefficient of the simultaneous equations

Here,
the degree of D is 2. So, the solutions for x and y should contain two
independent arbitrary constants.
This
is a special problem in which we get the solution for x contains only one
arbitrary constant A and the solution for y also contains, only one arbitrary
constant B. Infact, both A and B are two independent arbitrary constants
because we cannot express here, A in terms of B or B in terms of A. Always, we
need not expect both the solutions for x and y to contain two arbitrary
constants A and B.
Example
5.4.16. Solve the system of equation
(D
+ 1) x + (2D + 1) y = et
(D-1)
x - (D + 1) y = 1
Solution:

Probability and complex function: Unit V: Ordinary Differential Equations : Tag: : Solved Example Problems - Problems based on system of simultaneous linear differential equations with constant co-efficients
Probability and complex function
MA3303 3rd Semester EEE Dept | 2021 Regulation | 3rd Semester EEE Dept 2021 Regulation