The probability distribution of a sample statistic is often called the sampling distribution of the statistic.
SAMPLING DISTRIBUTIONS
The
probability distribution of a sample statistic is often called the sampling
distribution of the statistic.
Alternatively
we can consider all possible samples of size n that can be drawn from the
population, and for each sample we compute the statistic. In this manner we
obtain the distribution of the statistic, which is its sampling distribution.
The
sample mean
Let
X1, X2, X3,...,Xn denote the
independent, identically distributed, random variables for a random sample of
size n.
Then
the mean of the sample or sample mean is a random variable defined by

If
x1, x2, ... Xn denote values obtained in a
particular sample of size n, then the mean for that sample is denoted by

Example:
If a sample of size 4 results in the sample values 7, 1, 6, 2 then the sample
mean is

Let
f(x) be the probability distribution of some given population from which we
draw a sample of size n. Then it is natural to look for the probability distribution
of the sample statistic
which is called the sampling distribution
for the sample mean, or the sampling distributions of means.
Theorem:
1
The
mean of the sampling distribution of means, denoted by
, is given by
where µ is the mean of the population (or)
[A.U
A/M 2018 R-08]
Prove
that the expected value of the sample mean is the population mean.
Proof
:
Let the population be infinitely large and having a population mean of μ and a
population variance of σ2. If x is a random variable denoting the
measurement of the characteristic, then
Expected
value of x, E(x) = µ
Variance
of x, Var (x) = σ2
The
sample mean
is the sum of n random variables, viz., x1, x2,
…. xn, each being divided by n. Here, x1, x2,
…. xn are independent random variables from the infinitely large
population.

Theorem:
2
If
a population is infinite and the sampling is random or if the population is
finite and sampling is with replacement, then the variance of the sampling
distribution of means denoted by
is given by

Where
σ2 is the variance of the population.
Theorem:
3
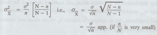
If
the population is of size N, if sampling is without replacement, and if the
sample size is n ≤ N, then

Theorem
: 4
If
the population from which samples are taken is normally distributed with mean μ
and variance σ2, then the sample mean is normally distributed
with
mean μ and variance σ2 / n
Theorem:
5
bas
agisl
Testing
of Hypothesis
slugog
od 15.1
Suppose
that the population from which samples are taken has a probability distribution
with mean μ and variance σ2 that is not necessarily a normal
distribution, then the standardized variable associated with
, given
by

A
simple sample of n items is drawn from the population. It is same as a series
of n independent trials with the probability P of success.
The
probabilities of 0, 1, 2, .., n successes are the terms in the binomial
expansion of (p + q)n.
Here
mean = np and standard deviation = √npq.
Let
us consider the proportion of successes, then
(a)
Mean proportion of successes = np = P
(b)
Standard deviation (standard error) of proportion of successes
=
√npq / n = √n/pq
(c)
Precision of the proportion of success = 1/S.E. = √n/pq
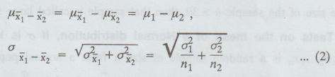
Suppose
that we are given two populations. For each sample of size n1 drawn
from the first population, let us compute a statistic S1. This
yields a sampling distribution for S1 whose mean and standard
deviation we denote by μS1 respectively. Similarly for each sample
of size n2 drawn from the second population, let us compute a statistic S2
whose mean and standard deviation are μS2 and σS2 respectively.
Taking
all possible combinations of these samples for the two populations, we can
obtain a distribution of the differences, S1 – S2, which
is called the sampling distribution of differences of the statistics. The mean
and standard deviation of this sampling distribution, denoted respectively by μS1
- S2 are given by
µS1
– S2 = µS1 - µS2 σS1 – S2 = σ2S1
– S22 ….. (1)
provided
that the samples chosen do not in any way depend on each other, i.e., the
samples are independent (in other words, the random variables S1 and
S2 are independent).
If,
for example, S1 and S2 are the sample means from two populations, denoted by
respectively, then the sampling distribution of the differences of means is
given for infinite populations with mean and standard deviation µ1, µ2
and µ2 , σ2 respectively by

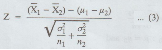
This
result also holds for finite populations if sampling is with replacement. The
standardized variable

in
that case is very nearly normally distributed if n1 and n2 are large (n1,
n230). Similar results can be obtained for finite populations in which sampling
is without replacement by using

and
S2 correspond to the proportions of successes P1 and P2
and equations (2) yield

Instead
of taking differences of statistics, we sometimes are interested in the sum of
statistics. In that case the sampling distribution of the sum of statistics S1
and S2 has mean and standard deviation given by

Assuming
the samples are independent, results similar to (2) can then be obtained.
We
use a sample statistic called the sample variance to estimate the population
variance. The sample variance is usually denoted by s2.

Statistics and Numerical Methods: Unit I: Testing of Hypothesis : Tag: : Theorem | Testing of Hypothesis | Statistics - Sampling Distributions
Statistics and Numerical Methods
MA3251 2nd Semester 2021 Regulation M2 Engineering Mathematics 2 | 2nd Semester Common to all Dept 2021 Regulation