Electric Circuit Analysis: Two Mark Question and Answers
51.
Write the expression for the total admittance of Y1 and Y2
in (a) series (b) parallel.
Ans:
(a)
For series combination, YT = (Y1Y2)/(Y1+Y2)
(b)
For parallel combination, YT = Y1+Y2.
52.
When do you say that an AC circuit given is at resonance?
Ans:
An AC circuit consisting of R,L and C, when excited by AC voltage is said to be
at resonance, when the applied voltage and the source current are in phase.
53.
For a RLC series circuit, state some
salient points at resonance.
Ans
:
a.
The net reactance is zero and hence the impedance is minimum give by R.
b.
Current and hence power are maximum.
54.
For RLC circuit what is the relation between VL and VC?
Ans:
For RLC circuit, VL and Vc are always in anti-phase.
55.
Why is a series resonance circuit regarded as acceptor circuit?
Ans:
A series resonance circuit has a capability to draw heavy currents and power
from the mains. So it is regarded as acceptor circuit.
56.
Define quality factor of series resonance circuit.
Ans:
This factor is defined at resonance condition. The factor by which the p.d.
across L or C rises to that of applied voltage is called the quality factor.
57.
In power systems, series resonance must be avoided. State true or false and
justify.
Ans:
At resonance the excessive voltage built up across L and C components may cause
damage. Hence the series resonance must be avoided in power system.
58.
Why is parallel resonance circuit called rejecter circuit?
Ans:
A parallel circuit at resonance draws very small current and hence power. So,it
is called rejecter circuit.
59.
What is the dynamic impedance and what is its expression?
Ans:
The impedance of the parallel circuit at resonance is known as dynamic
impedance. Its expression for a practical parallel resonance circuit is L/CR
60.
Write an expression for the bandwidth of a series resonant circuit in terms of
Q factor and the resonant frequency.
Ans:
Band
width = f2 – f1
Quality
factor = Q
Resonant
frequency = f0
Q
= f0 / f2 – f1
(f2
– f1 ) = f0 / Q
61.
What is the dynamic resistance of the parallel resonance circuit.
Ans:
It is the resistance of the parallel practical circuit at resonance. When the
impedance is the dynamic resistance, the reactance of the circuit is zero. The
dynamic resistance Z0 = L/CR It is independent of frequency.
62.
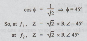
In a series resonant circuit, what is the impedance at half-power frequencies.
Ans:
At lower half-power frequency as well as at upper half-power frequency, the magnitude
of the impedance is equal to √2 × R.
i.e.,
| Z | = √2 × R
But
the power factor is leading nature at f1 and lagging nature at f2.
At both frequencies power factor

63.
A coil of resistance R, an inductance L is shunted by a capacitor C and this
parallel combination is under resonance. What is the resonant frequency of this
circuit ?
Ans:

64.
A series circuit consists of a voltage source, a closed switch, R, L and C.
Draw its dual.
Ans:

65.
Find the resonant frequency in the ideal parallel LC circuit with L = 40 mH and
C = 0.01 μF.
Ans:

66.
What is selectivity of a resonant circuit ?
Selectivity
of a resonant circuit is its ability to discriminate between signals of desired
and undesired frequencies.
It
is defined as the ratio of resonance frequency and bandwidth.
67.
A circuit has the resonant frequency of 60 Hz and lower half-power frequency of
40 Hz. What is its bandwidth ?
Ans
:

68.
Sketch the variation of current with frequency in a series RLC circuit and
indicate the resonant point.

69.
Define Bandwidth.
Ans:
Bandwidth of series resonant circuit is given by the band of frequencies which
lie between 2 points on either side of resonant frequency. Bandwidth = (f2-f1).
At any frequency between f1 and f2, the phase angle is
more than 45° and less than 0°.
70.
Define the Q factor of a circuit. What is its significance in the resonant
circuit ?
Ans:
Quality factor is the ratio of the reactance of the coil to its resistance, at
resonance. Q is known as a figure of merit and is an indication of the quality
of a coil.
Q
= XL / R = XC / R = 1/R √L/C
71.
Draw the two branch parallel resonant circuit.
Ans:

72.
What are the half-power frequencies?
Ans:
Half-power frequencies are the frequencies at which the power dissipated in the
circuit is equal to half the power dissipated at resonance. f, is the lower
half-power frequency and f2 is the upper half-power frequency. At
both the frequencies, the power factor is numerically equal to i.e.,
ϕ
= 45°. It is leading nature at f1 and lagging nature at f2.
73.
Draw series resonant circuit.

74.
How is selectivity related to Bandwidth ?
Ans:
Selectivity of a resonant circuit is its ability to discriminate between
signals of desired and undesired frequencies. It is defined as the ratio of
resonance frequency and bandwidth.
Selectivity
= f0 / f2 – f1
75.
What is the nature of power factor if the frequency of operation is less than
the resonance frequency in a RLC series circuit ?
Ans:
When the frequency is less than resonance frequency fo, the current lags behind
the voltage i.e., is leading in nature. Hence, the power factor is leading for
frequency less than resonance frequency.
Electric Circuit Analysis: Two Mark Question and Answers : Tag: : Electric Circuit Analysis - Two Mark Question and Answers set - 3
Electric Circuit Analysis
EE3251 2nd Semester 2021 Regulation | 2nd Semester EEE Dept 2021 Regulation