Electromagnetic Theory: Unit II: (b) Conductors, Dielectrics and Capacitance : Two Marks Questions with Answers
Two Marks Questions with Answers
Q.1
Define current density and state its unit.
Ans.
: The current density is defined as the current passing through the unit
surface area, when the surface is held normal to the direction of the current.
The current density is measured in amperes per square metres (A/m2).
Q.2
State the relation between current and current density. Also state how current
density is relate to charge density.
Ans.
:
The
current I and current density
are related as,

where
dS is differential surface area.
The
relation between
and ρv can be expressed as,

Q.3
State the continuity equation in integral and differential form.
AU:
Dec.-08, May-12
Ans.
:
Let Qi = Charge within the closed surface
dQi
/ dt = Rate of decrease of charge inside the closed surface
The
negative sign indicates decrease in charge.
Due
to principle of conservation of charge, this rate of decrease is same as rate
of outward flow of charge, which is a current.

This
is the integral form of the continuity equation of the current.
The current or the charge per second, diverging from a small volume per unit volume is equal to the time rate of decrease of charge per unit volume at every point.
Hence,

This
is the point form or differential form of the continuity equation of the
current
Q.4
What is mobility ? Obtain its units.
Ans.
:
The drift velocity is directly proportional to the applied electric field. The
constant of proportionality is called mobility of the electrons in a given
material and denoted as µe. It is positive for the electrons.

Thus
mobility is measured in square metres per volt-second (m2/V-s).
Q.5
Define Ohm's law at a point.
AU
; Dec.-02, May-04, 05
Ans.
:
The point form of Ohm's law is given by, For a metallic conductor,
where
σ
= Conductivity of the material
Q.6
State the effect of temperature on resistivity and conductivity.
Ans.
:
The resistivity is the reciprocal of the conductivity. The conductivity depends
on the temperature. As the temperature increases, the vibrations of crystalline
structure of atoms increases. Due to increased vibrations of electrons, drift
velocity decreases, hence the mobility and conductivity decreases. So as
temperature increases, the conductivity decreases and resistivity increases.
Q.7
State the Ohm's law for nonuniform fields.
Ans.
:
For nonuniform fields, the resistance R is defined as the ratio V to I where V
is the potential difference between two specified equipotential surfaces in the
material and I is the current crossing the more positive surface of the two,
into the material. Mathematically the resistance for nonuniform fields is given
by,

The
numerator is a line integration giving potential difference across two ends
while the denominator is a surface integration giving current flowing through
the material.
Q.8
State the properties of conductor.
(Refer
section 5.4.3.)
Q.9
What do you understand from continuity equation ?
Ans. : If the current flows
outwards from the closed surface, then it is constituted due to outward flow of
positive charges from the closed surface S. The continuity equation tell that,
there must be decrease of an equal amount of positive charge inside the closed
surface. Hence the outward rate of flow of positive charge gets balanced by the
rate of decrease of charge inside the closed surface. While the differential
form of continuity equation states that the current or the charge per second,
diverging from a small volume per unit volume is equal to the time rate of
decrease of charge per unit volume at every point.
Q.10
What is the difference between homogeneous and nonhomogeneous medium ?
Ans.
:
The medium is called homogeneous when the physical characteristics of the
medium do not vary from point to point but remain same everywhere throughout
the medium. If the characteristics vary from point to point, the medium is
called nonhomogeneous or heterogeneous.
Q.11
What is the difference between linear and nonlinear medium ?
Ans.
:
The medium is called linear with respect to the electric field if the flux
density
is directly proportional
to the electric field
. The relationship is through the permittivity of
the medium. If
is not directly proportional to
, the
material is called nonlinear.
Q.12
What is polarization ?
Ans.
:
The atoms of a dielectric are electrically neutral. The nucleus is positively
charged while negative charge is considered to be in the form of cloud of
electrons around the nucleus. Without application of electric field, the charge
distribution is symmetric. When electric field
is applied, the
symmetrical distribution of charges gets disturbed. The positive charges
experience a force
while the negative charges experience a force
in the opposite direction. Now there is separation between the nucleus and the
centre of the electron cloud. This forms an electric dipole. The dipole gets
aligned with the applied field. This process is called polarization of
dielectrics.
Q.13
State the mathematical equation for polarization and state its unit.
Ans.
:
The polarization
is defined as the total dipole moment per unit
volume.

It
is measured in coulombs per square metre (C/m2 )
Q.14
State the properties of dielectric materials. (Refer section 5.6.3)
AU
: May-07
Q.15
Define dielectric strength. Give its units. State its value for the air. AU:
Dec.-06, 17, May-10
Ans.:
The
minimum value of the applied electric field at which the dielectric breaks down
is called dielectric strength of that dielectric.
The
dielectric strength is measured in V/m or kV/cm. It also can be stated as the
maximum value of electric field under which a dielectric can sustain without
breakdown.
The
dielectric strength of air is 3 kV/mm.
Q.16
Why is the electrostatic potential continuous at a boundary ?
AU:
Dec.-03
Ans.
: At
the boundary,
E tan1 = E tan 2
Thus
the tangential components of the field intensity at the boundary in both the
dielectrics remain same. Thus electric field intensity is continuous at the
boundary. And
hence the electrostatic potential is also continuous
at the boundary.
Q.17
Calculate the energy stored in a 10 µF capacitor which has been charged to a
voltage of 400 V.
AU
: May-04
Ans.:
E = 1/2 CV2 =-2 × 10 × 10-6 × (400) 2 = 0.8 J
Q.18
Define the boundary conditions for the conductor - free space boundary in
electrostatic.
AU
: May-03, 04, Dec.-05
Ans.
:
The boundary conditions for the conductor - free space boundary in
electrostatic are,
Etan
= 0 and Dtan = Ɛ0 Etan
= 0
DN
= ρS and EN = ρS| / Ɛ0
Q.19
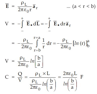
Using Gauss’s law, derive the capacitance of a co-axial cable.
Ans.
:
According to Gauss's law, for a co-axial cable

Q.20
Define the boundary conditions at the interface between two dielectrics.
AU:
May-05,18
Ans.
The
boundary conditions for the boundary between two perfect dielectrics are,

Q.21 Explain the electric field distribution inside and outside a conductor.
Ans.
:
It is known that current must flow when potential gradient exists. When a
certain amount of electric charge exists inside a conductor, then mutual
repulsion between the charges takes place and it gives rise to an electric
field
. This produces the current according to Ohm's law. But as the
charges get distributed uniformly,
vanishes and the current ceases.
Thus
is everywhere zero inside a conductor and all points inside the
conductor are equipotential in nature.
When
motion of the charges inside the conductor stops,
is zero everywhere
inside the conductor. If a Gaussian surface is selected just inside the surface
of the conductor as shown in the Fig. 5.18.1 no charge gets enclosed as
is zero.

But
according to divergence theorem the volume integral
dv must be zero.

Thus in the entire volume occupied by the
conductor, no charge exists. If somehow charge is released inside the
conductor, it immediately flows out and reside on the surface of the conductor.
Hence electric charge can reside only on the surface of the conductor.
The
at all points on the surface of a conductor is always normal to the
surface. This is because charges on the surface are at rest. If
is
not normal but inclined, it will produce Etan component. This can produce the
current along the surface i.e. movement of charges. But practically there
cannot be any movement of charges
on the surface. Hence
must be normal to the surface.
Q.22
How is the principle of conservation of charges depicted ?
Ans.
:
The principle of conservation of charge states that charges can neither be
created nor be destroyed though equal amounts of positive and negative charges
may be simultaneously created, obtained by method of separation or by
destruction or lost by recombination.
Q.23
What is capacitor ? What is capicitance ?
AU
: May-16
Ans.
:
A system which has two conducting surfaces carrying equal and opposite charges,
separated by a dielectric is called capacitor giving rise to a capacitance.
The
ratio of the magnitudes of the total charge on any one of the two conductors
and potential difference between the conductors is called the capacitance of
the two conductor system denoted as C. The capacitance is the property of
capacitor to store electrical energy in the form of electrostatic field when
potential difference is applied across it.
Q.24
Define 1 farad.
Ans.
: One farad of capacitance is defined as the capacitance of a capacitor which
requires a charge of one coulomb to establish the potential difference of one
volt between its plates.
Q.25
State the capacitance of a co-axial cable. Ans. : The capacitance of a co-axial
cable is,

where
L is its length, a = inner radius and b = outer radius.
Q.26
State the capacitance of a spherical capacitor.
Ans.
:
The capacitance of a spherical capacitor is,.

where
the radius of outer sphere is 'b' while that of inner sphere is 'a'.
Q.27
State the expression for energy stored and energy density in a capacitor.
Ans.
:
The energy stored in a capacitor is given by,

While
the energy density is given by,

Q.28
Determine the capacitance of a parallel plate capacitor having tin foil sheets,
25 cm square plates separated through a glass dielectric 0.5 cm thick with
relative permitivity 6.
Ans.
:

Q.29
Derive point form of Ohms law from V = IR.
Ans.
:
The Ohm's law is V = IR
AU
: Dec.-10

Q.30
A parallel plate capacitor has voltage of 25 V across the plates. If the
distance between the plates is doubled, find the new voltage across the plates.
Ans.
:

Q.31
Calculate the current density of copper wire having conductivity of 5.8 × 107
S/m and |
| =20 V/m.
Ans.:

Q.32
Determine the value of capacitance between 2 square plates cross sectional area
1 sq.cm separated by 1 cm placed in a liquid whose dielectric constant is 6 and
the relative permittivity of free space is 8.854 picoF/m.
AU
: May-04
Ans.
:

Q.33
At the boundary between copper and aluminium the electric field lines make an
angle of 45° with the normal to the interface. Find the angle of emergence. The
conductivity of copper and aluminium are 5.8 x105 S/cm and 3.5× 105
S/cm, respectively.
Ans.
:
For the two conductors, boundary condition states that,

Q.34
A parallel plate capacitor has a charge of 10-3 C on each plate while the
potential difference between the plates is 1000 V. Calculate the value of
capacitance.
Ans.
:

Q.35
A dielectric slab of flat surface with relative permittivity 4 is disposed with
its surface nromal to a uniform field with flux density 1.5 C/m2. The slab is
uniformly polarized. Determine polarization in the slab.
Ans.
:

Q.36
If a dielectric material of ƐR = 4.0 is kept in an electric field
, find the polarization.
Ans.
:

Q.37
Calculate the capacitance of a parallel plate capacitor having an electrode
area of 100 cm2. The distance between the electrodes is 4 mm and the dielectric
used has a permittivity of 3.5. The applied potential is 100 Volts.
AU
: May-14
Ans.
: A = 100 cm2,
d = 4 mm, Er = 3.5

Q.38
Calculate the capacitance per km between a pair of parallel wires each of
diameter 1 cm at a spacing of 50 cms.
AU
: Dec.-15

Q.39
Find the capacitance of an isolated spherical shell of radius a.
Ans.
:
Capacitance of an isolated sphere can be obtained by using b = ∞ in the
capacitance of a spherical capacitor.

Q.40
Evaluate the capacitance of a single isolated sphere of 1.5 m diameter in free
space.
AU
: Dec.-18
Ans.
:

Q.41
Why water has much greater dielectric constant than mica ?
AU
: May-19
Ans
. :
The
water has a polar nature and has a very large electric dipole moment which is
parmanent in nature. The mica has induced dipole moment hence the water has
much greater dielectric constant than mica.
Q.42
How is electric energy stored in a capacitor ?
Ans.
:
In a capacitor, the work done in charging a capacitor is stored in the form of
an electrostatic energy.
Electromagnetic Theory: Unit II: (b) Conductors, Dielectrics and Capacitance : Tag: : Conductors, Dielectrics and Capacitance | Electromagnetic Theory - Two Marks Questions with Answers
Electromagnetic Theory
EE3301 3rd Semester EEE Dept | 2021 Regulation | 3rd Semester EEE Dept 2021 Regulation