Electromagnetic Theory: Unit IV: Time Varying Fields and Maxwell's Equations : Two Marks Questions with Answers
Two Marks Questions with Answers
Q.1
What is meant by time varying field ? How are they different than static fields
?
Ans.
:
The fields which are produced due to the time varying currents are called time
varying fields or dynamic fields. The time varying electric field can be
produced by the time varying magnetic field while the time varying magnetic
field can be produced using time varying electric field. These fields change
with respect to time. The fields which do not change with respect to time are
called static fields or time invarient fields.
Q.2
State Faraday's law of electromagnetic induction.
AU
: Dec.-04, 10, 16, May-11, 16
Ans.
:
The electromotive force (e.m.f.) induced in a closed path (or circuit) is
proportional to rate of change of magnetic flux enclosed by the closed path (or
linked with the circuit).
Faraday's
law can be stated as,
e
= - N (dϕ / dt ) volts.
Q.3
What is meant by an electromagnetic induction ?
Ans.
:
When a closed path is moved in a magnetic field, a current is generated and
thus e.m.f. is generated. Similarly when a closed path is kept steady and the
magnetic field is varied, the current is produced hence e.m.f. is generated.
This phenomenon is known as an electromagnetic induction.
Q.4
State Leriz law.
Ans.
:
Statement of Lenz's Law : " The direction of induced e.m.f. is such that
it opposes the cause producing it. i.e. changes in the magnetic flux."
Q.5
What is meant by transformer e.m.f. ?
Ans.
:
An e.m.f. generated when a stationary closed path is placed in a timevarying
magnetic field
is called transformer e.m.f. or statically induced
e.m.f. Mathematically it is given by,

Q.6
What is meant by motional e.m.f. ?
AU: May-08, 17
OR
Write down the expression for e.m.f
induced in a moving loop in static
field. AU
: May-06, 08
Ans. :
An e.m.f. induced in a closed path when it is moved or revolved in a constant
and time invarient magnetic field is called motional e.m.f. As this action is similar to a generator action, it
is also called generator e.m.f. The expression for motional e.m.f. is given by,

Q. 7 Write
expression for an induced e.m.f. when a moving closed path is place in a time
varying magnetic field.
AU: May-09
Ans. : Under such condition, transformer as well as
generator e.m.f. will contribute to the total induced e.m.f. Hence the total
induced e.m.f. is the addition of two e.m.f. and it is given by,

Q. 8 What is the
significance of displacement current ? AU : Dec.-07, 12, 19, May-10, 11, 12, 14
Ans. :
The displacement current is associated with the time varying electric fields.
It always exists in all imperfect conductors which carry time varying
conduction current.
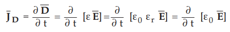
Q. 9 Write expressions for conduction and displacement current densities.
Ans. :

Q. 10 What is the significance of the ratio of magnitudes of the conduction
current density to the displacement current density ?
OR
In a time varying field situation
how do you define a good conductor and a lossy dielectric materials ? AU:
May-06, 07
Ans. :
The ratio indicate the nature of a medium.Then the ratio of the magnitudes of
the conduction current density to the
displacement current density is given by,

Thus
the ratio of the magnitudes of the conduction current density to the
displacement current density depends on the properties of the medium (i.e. σ
and µ) and the frequency (i.e. ω).
If
the ratio of the magnitudes of the current densities is greater than 1, the
medium is conductor and if the ratio of the magnitudes is less than 1 then the
medium is dielectric.
Q. 11 Discuss the
condition under which conduction current is equal to displacement current.
(Refer answer of Q. 10)
Q. 12 Find the
frequency in Hz such that conduction current density equals in the magnitude to
that of displacement current density in a medium with σ = 4 × 10-3 Ʊ/m and εr = 30.
Ans. : 
ω
=σ/ ε = σ/ε0εr = 4 × 10-3/8.854 × 10-12
× 30 = 15.0591 × 106
f
= ω/2π = 15.0591 × 10-6/2π = 2.397
MHz
Q. 13 Write Maxwell's
equations in point or differential form.
Ans. :
Maxwell's equation in point (or differential) form

Q. 14 Write point form
of Maxwell's equations in phasor form.
Ans. :

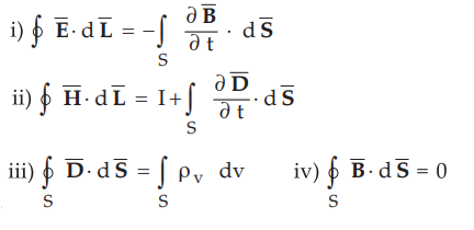
Q. 15 Write Maxwell's equations in integral form.
Ans. :

Q. 16 Write Maxwell's equation for free space.
Ans. :
For free space, volume charge density p v and conductivity both are zero. Hence
Maxwell's equations in point and integral form are as follows -

Q. 17 Write Maxwell's equations for good conductor.
Ans. :
For good conductor, σ is vary large. Hence

Hence
Maxwell's equations in point and integral form are as follows,

Q. 18 Write Maxwell's equation deriued from Faraday's law. AU : Dec.-04,
06
Ans. :

Q. 19 Write down Maxwell’s equation deriued from Ampere's law. AU:
Dec.-10

Q. 20 Write statements of Maxwell's equations in word form.
Ans. :
i) Maxwell's equation derived from
Faraday's law : "The total electromotive force (e.m.f.) induced in a
closed path is equal to the negative surface integral of the rate of change of
flux density with respect to time over an entire surface bounded by the same
path."
ii) Maxwell's equation derived from
Ampere's circuit law : "The total magnetomove force
(m.m.f.) around any closed path is equal to the surface integral of the
conduction and displacement current densities over the entire surface bounded
by the same closed path".
iii) Maxwell's equation derived
from Gauss's law for electric-field : "The total flux
leaving out of a closed surface is equal to the total charge enclosed by a
finite volume".
iv) Maxwell's equation derived from
Gauss's law for magnetic field : "The surface
integral of magnetic flux density over a closed surface is always equal to
zero".
Q. 21 In a free space,
V/m. Calculate the displacement current
density.
Ans. :
The displacement current density is given by,

εr
= 1 for free space
Substituting
value of
in above equation, we
get,

Q. 22 A poor conductor is characterized by a conducting σ = 100 S/m and
permittiuity ε = 4ε0. At what angular frequency ω is the amplitude
of the conduction current density
equal to the amplitude of
displacement current density ![]()
Ans. :
As the amplitude of conduction current density
equals to that of the
displacement current density, we can write,

According to Maxwell's equation derived from Faraday's law,

Q. 24 Give the situations, when the rate of change of flux results in a
non-zero value.
Ans. :
In following situations rate of change of flux results in a non-zero value.
i)
There exists a relative motion between conductor and flux.
ii)
Plane of flux and motion of conductor should not be parallel.
iii)
An alternating flux linking with coils of N turns.
Q.25 Distinguish between transformer e.m.f. and motional e.m.f.
AU
Dec.-09, 13, May-17
Ans.
:

Q.26
Calculate the e.m.f. induced in a circuit having an inductance of 700 uH if the
current through it varies at a rate of 5000 A per second.
AU
: Dec.-08
Ans.:
e = L di / dt = 700 × 10-6 × 5 × 103 = 3.5 volts.
Q.27
What type of voltage is induced in a loop which is rotating about y-axis in a
magnetic field of flux density is
= B0 sin ωt T?
Ans.
:
The total induced voltage will be the addition of transformer e.m.f and
motional e.m.f.

Q.29
A medium has constant conductivity of 0.1 mho/m, μr = 1, Ɛr = 30. When these
parameters do not change with the frequency, check whether the medium behaves
like a conductor or a dielectric at 50 kHz and 10 GHz.
Ans.:
σ = 0.1 Ʊ/m, μr = 1, Ɛr = 30
At
50 kHz:

Q.30
Compare field theory and circuit theory. (Refer section 9.9)
AU:
Dec.-11, 17, 18
Q.31
A conductor of 1 m length is moved with a velocity of 100 m/sec perpendicular
to a field of 1 Tesla. What is the value of e.m.f. induced?
AU: Dec.-12, May-17
Ans.
:
The magnitude induced e.m.f. is given by,
e = Blv sin θ
As
the field and direction of motion are perpendicular to each other, θ = 90° that
means sin θ = sin90 = 1
e
= (l) (l) (100) (l) = 100 V.
Q. 32 State continuity equation. AU : June-12
Ans. :
The continuity equation for time varying fields is given by 
Q. 33 What is displacement current ? AU : Dec.-13, 17, May-16
Ans. :
The current that flows through dielectric is called displacement current.
Q. 34 A parallel plate capacitor has an electrode area of 10 cm2.
The separation between the plates is 5 mm. A voltage of 10 sin 100 πt is
applied across its plates. Calculate its displacement current. Assume air
dielectric. AU : May-14
Ans. :
The displacement current is given by,

=
1.7708 × 10-12 × 10 × 100 π cos (100 π)
iD
= 5.5631 cos (100π) t nA
Q. 35 A parallel-plate capacitor with plate area of 5 cm2 and plate
separation of 3 mm has a voltage 50 sin 103t V applied to its
plates. Calculate the displacement current assuming ε = 2 ε0. AU : Dec.-15
Ans. :
The displacement current of a parallel plate capacitor is given by,

=
(2.9513 × l0-12) (50) (103) cosl03t = 0.1476 cos103 tµA
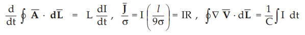
Q. 36 Give two important equations that provide a connection between field
and circuit theory.AU: Dec.-14
Ans. :

Q. 37 Moist soil has conductivity of 10-3 S/m and er = 2.5, determine the
displacement current density if E = 6.0 ×10-6 sin9.0 ×109
t(V/m). AU : Dec.-16
Ans. :

=
1.3281 × 10-16 × 9 × 109 cos 9 × 109 t = 1.195 cos 9 × 109 t µA/m2
Q. 38 Distinguish between conducting and displacement currents. AU :
May-18, Dec.-18
Ans. :
Conduction current is the electric current which exists in a conductor when the
electrons flow in a conductor at a uniform rate due to applied potential
difference. It is the current when an electric field remains constant with
respects to time.
The
displacement current is due to the displacement of electrons in a time varying
electric fields. It is the current which flows through the dielectric. It explains
the continuity of the path of current flow through dielectric.
Q. 39
State Maxwell’s fourth equation. AU : Dec.-19
Ans. :
It states that the net magnetic flux emerging through any closed surface is
zero i.e.

Electromagnetic Theory: Unit IV: Time Varying Fields and Maxwells Equations : Tag: : Time Varying Fields and Maxwells Equations | Electromagnetic Theory - Two Marks Questions with Answers
Electromagnetic Theory
EE3301 3rd Semester EEE Dept | 2021 Regulation | 3rd Semester EEE Dept 2021 Regulation