Electric Circuit Analysis: Unit IV: Three phase circuits : Worked examples
WORKED EXAMPLES
THREE PHASE POWER MEASUREMENT
By 2 wattmeter method
Example
13 Determine the power and power factor if the two wattmeters read (i) 1000 w
each, both positive (ii) 1000 w each of opposite sign.
Solution:
Case (i):
W1
= 1000 watts
W2
= 1000 watts

This
power factor may be lead or lag. As the load is not specified, (inductive or
capacitive) we can not identify the nature of power factor.
Example
14 The power input to a 2000 V, 50 HZ, 36 motor running on full load at an
efficiency of 90% is measured by two wattmeters which indicate 300KW and 100KW
respectively. Calculate i) Input, ii) Power factor, iii) Line current, iv) H.P.
output.
Solution:
W1
= 300 KW
W2
= 100 KW
i)
Total input power = W1 + W2 = 400 KW = 400 × 103
W
ii)
The motor is assumed to be Induction motor. Hence the power factor is lagging
in nature.

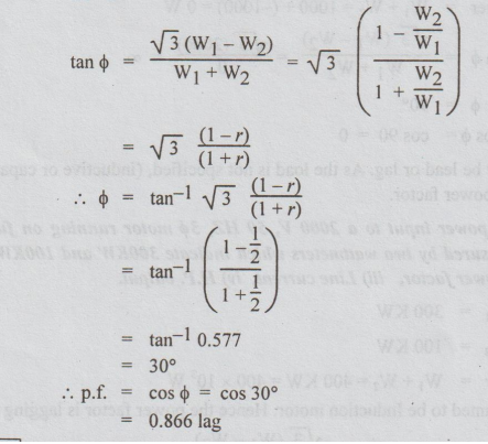
Example
15 In a balanced 34 system, the power is measured by two-wattmeter method and
the ratio of two wattmeter readings is 2: 1. Determine the power factor of the
system.
Solution:
Data: W2 / W1 = 1/2 = r (say)
We
know that for lagging power factor,

Example
16 A balanced delta connected load takes a line current of 15A when connected
to a balanced 3 phase 400 V system. A wattmeter with its current coil in one
line and potential coil between the two remaining lines read 2000 W. Describe
the load impedance.
Solution
:
For this type of connection, the wattmeter indicates reactive power. Hence the
given power must be in VAR and not watts.
Watt
meter reading

Example
17 Three identical coils each having a resistance of 202 and a reactance of 202
are connected in i) star ii) delta across 440 V, 3 phase supply. Calculate for
each case, line current and reading in each of the wattmeters connected to
measure power.
Solution:

Electric Circuit Analysis: Unit IV: Three phase circuits : Tag: : Three phase power measurement by 2 wattmeter method - Worked examples
Electric Circuit Analysis
EE3251 2nd Semester 2021 Regulation | 2nd Semester EEE Dept 2021 Regulation