A very powerful test for testing the significance of the discrepancy between theory and experiment was given by prof. Karl-Pearson in 1990 and is known as "Chi-square test of goodness of fit".
b. x2-test to test the goodness of fit.
A
very powerful test for testing the significance of the discrepancy between
theory and experiment was given by prof. Karl-Pearson in 1990 and is known as
"Chi-square test of goodness of fit". It enables us to find if the
deviation of the experiment from theory is just by chance or is it really due
to the inadequacy of the theory to fit the observed data.
I.
Chi-Square Test for Goodness of fit
x2-test
of goodness of fit is a test to find if the deviation of the experiment from
theory is just by chance or it is due to the inadequacy of the theory too fit
the observed data.
By
this test, we test whether differences between observed and expected
frequencies are significant or not.
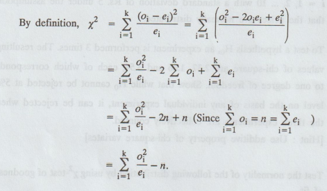
x2
-
test statistic of goodness of fit is defined by
x2
=
∑ (O − E)2 / E , where
O
→ Observed frequency swoo
E→
Expected frequency
II.
Application or uses of x2 -distribution
(1)
To test the "goodness of fit".
(2)
To test the "independence of attributes".
(3)
To test if the hypothetical value of the population variance is o2.
(4)
To test the homogeneity of independent estimates of the population variance.
(5)
To test the homogeneity of independent estimates of the population correlation
coefficient.
III.
Conditions for the application of x2-test.
[AU
N/D 2011]
(1)
The sample observations should be independent.
(2)
Constraints on the cell frequencies, if any, must be linear
[e.g., Σ Οi = ΣΕi]
(3)
N, the total frequency, should be atleast 50.
(4)
No theoretical cell frequency should be less than 5.
IV.
Independence of attributes
Note
1 In the case of
fitting
a Binomial distribution, d.f = n - 1
fitting
a Poisson distribution, d.f = n - 2
fitting
a Normal distribution, d.f = n - 3
Note
2 If x2 = 0, all observed and expected frequencies coincide
Note
3 For x2-distribution, mean = v, Variance = 2v
Example
1.4.b(1)
A
company keeps records of accidents. During a recent safety review, a random
sample of 60 accidents was selected and classified by the day of the week on
which they occured.

Test
whether there is any evidence that accidents are more likely on some days than
others.
Solution:
The
parameter of interest is to test whether there is any evidence that accidents
are more likely on some days then others. So, we apply x2
test.
1.
H0 : Accidents are equally likely to occur on any day of the week.
2.
H1 : Accidents are not equally likely to occur on the days of the
week.
3.
On the assumption H0, the expected number of accidents on any day 60
/ 5 = 12.
O
→ Observed frequency, E → Expected frequency

d.f
= V = n − 1, Since ΣE (=ΣO) has been found using the sample data.
4.
Conclusion:
Here,
Cal x2 < table x2
i.e.,
4.499 < 9.488
So,
we accept H0
i.e.,
accidents may be regarded to occur uniformly over the week.
This
means that the accidents are equally likely to occur on any day of the week.
Example
1.4.b(2)
The
following data gives the number of aircraft accidents that occured during the
various days of a week. Find whether the accidents are uniformly distributed
over the week.

Solution
:
The
parameter of interest is to test the accidents are uniformly distributed. So,
we apply x2 test.
1.
H0 The accidents are uniformly distributed over the week.
2.
H1: The accidents are not uniformly distributed.
3.
On the assumption of Ho, the expected number of accidents on any
day
E = 84 / 7 = 12
O
→ Observed frequency, E→ Expected frequency

d.f
= V = n 1, since ΣE (=ΣO) has been found using the sample data.
4.
Conclusion:
Here,
Cal x2 < table x2
i.e.,
4.165 < 12.592
So,
we accept H0
i.e.,
accidents are uniformly distributed over the week. stemsx
Example
1.4.b(3)
The
table below gives the number of aircraft accidents that occurred during the
various days of the week. Test whether the accidents are uniformly distributed
over the week.

Sol.
The parameter of interest is to test the accidents are uniformly distributed.
So we apply x2 test
1.
H0 : The accidents are uniformly distributed over the week.
2.
H1 : The accidents are not uniformly distributed
3.
On the assumption of H0, the expected number of accidents on any day
= 90 / 6 = 15
O
→ Observed frequency, E→ Expected frequency

d.f
= V = n − 1, since ΣE (= ΣO) has been found using the sample data.
4.
Conclusion:
Here,
Cal x2 < table x2
i.e.,
2.001 < 11.07
So,
we accept H0
This
means that the accidents are uniformly distributed over the week.
Example
1.4.b(4)
In
120 throws of a single die, the following distribution of faces was observed.

Can
you say that the die is biased
Solution:
Given: n = 6
The
variable of interest is to test if the die is biased. So we apply x2
test.
1.
H0 The die is unbiased.
2.
H1 : The die is biased.
3.
On the assumption H0, the expected frequency (E) for each face
=
120 / 6 = 20
O
→ Observed frequency, E → Expected frequency

d.f
= V = n − 1, since ΣE (=ΣO) has been found using the sample data.
4.
Conclusion:
Here,
Cal x2 > table x2
i.e.,
12.9 > 11.07
So,
we reject H0
Hence,
the die can be regarded as biased.
Example
1.4.b(5)
A
sample analysis of examination results of 500 students was made. It was found
that 220 students have failed, 170 have secured a third class, 90 have secured
a second class and the rest, a first class. So do these figures support the
general belief that the above categories are in the ratio 4:3: 2:1
respectively?
Solution:
Given:
n = 4, 4 + 3 + 2 + 1 = 10
The
variable of interest is the results in the four categories.
1.
H0 : The results in the four categories are in the ratio 4:3:2:1
2.
H1 The results in the four categories are not in the ratio 4:3:2:1
3.
On the assumption Ho, the expected frequencies of the 4 classes are 3
4
/ 10 × 500, 3 / 10 × 500, 2/ 10 × 500, 1 / 10 × 500
i.e.,
200, 150, 100, 50
O
→ Observed frequency, E → Expected frequency visado 0

d.f=
V = n 1, since Σ E (=Σ O) has been found using the sample data.
4.
Conclusion :
Here,
Cal x2 > table x2
i.e.,
23.667 > 7.815
So,
we reject H0 at 5% level of significance.
The
results of the four categories are not in the ratio 4 : 3 : 2 : 1
Example
1.4.b(6)
A
sample analysis of examination results of 1000 students were made and it was
found that 260 failed, 110 first class, 420 second class and rest obtained
third class. Do these data support the general examination result in the ratio
2 : 1 : 4: 3. [A.U N/D 2019 (R-17)]
Solution:
Given: n = 4, 2 + 1 + 4 + 3 = 10
The
variable of interest is the results in the four categories.
1.
H0 : The results in the four categories are in the ratio 2:1:4:3
2.
H1 The results in the four categories are not in the ratio 2:1:4:3
3.
On the assumption H0, the expected frequencies of the 4 classes are
2
/ 10 × 1000, 1 / 10 × 1000, 4 / 10 × 1000, 3 / 10 × 1000 i.e., 200, 100, 400, 300
O
→ Observed frequency, E → Expected frequency

d.f
= V = n-1, since ΣE (=ΣO) has been found using the sample data.
4.
Conclusion: ads ni sand soilingia to consbivo ai T ore
Here,
Cal x2 > table x2
i.e.,
47 > 7.815
So,
we reject H0 at 5% level of significance.
The
results of the four categories are not in the ratio 2:1:4:3.
Example
1.4.b.(7)
A
company carries out regular market research to obtain information about the
customers. It is particularly important to know the age distribution of the
customers. In the recent years this has remained fairly constant and is shown
in the following table.

A
random sample of 300 customers selected during the latest market research
investigation included the following numbers in each age group. Employ a
Chi-square test to examine whether there is an evidence of significant change
in the age distribution.

Solution
:
The
parameter of interest is to examine whether there is evidence of significant
change in the age distribution.
1.
H0 : There is no evidence of significant change in the age
distribution of customers.
2.
H1 : There is evidence of significant change in the age distribution
of customers.
3.
On the assumption H0, the expected frequencies are
35
× 3, 25 × 3, 15 × 3, 15 × 3, 10 × 3
i.e.,
105, 75, 45, 45, 30
O
→ Observed frequency, E→ Expected frequency attest

d.f
= V = n − 1, since ΣE (= ΣO) has been found using the sample data.
4.
Conclusion:
Here,
Cal x2 > table x2
i.e.,
19.453 > 9.488
So,
we reject H0 at 5% level of significance
Hence
there is evidence of significant change in the age distribution of customers.
Example
1.4.b (8)
Five
coins are tossed 320 times. The number of heads observed is given below

Examine
whether the coin is unbiased. Use 5% level of significance.
Solution:
Here n = 6 [A.U A/M 2018 R-13]
1.
H0 : The coins are unbiased.
2.
H1: The coins are b
3.
Probability of getting head p = 1/ 2
Probability
of getting tail q = 1 / 2
Then
the expected frequencies are

d.f
v = n - 1, since ΣE (=ΣO) has been found using the sample data.
The
value of p and q have not been found by using the sample data.
4.
Conclusion:
Here
Cal x2 > table x2
i.e.,
17.5 > 11.07
So,
we reject H0
Therefore
the coins are biased.
Example
1.4.b(9)
4
coins were tossed 160 times and the following results were obtained:

Under
the assumption that the coins are unbiased, find the expected frequencies of
getting 0, 1, 2, 3, 4 heads and test the goodness of fit.
Solution:
Here n = 5 [AU A/M 2011]
1.
H0 : The coins are unbiased
2.
H1: The coins are biased
3.
Probability of getting head = p = 1 / 2
Probability
of getting tail = q = 1 / 2
Then
the expected frequencies are

d.
f. = V = n − 1, since only ΣE (= ΣO) has been found using the sample data. The
values of p and q have not been found by using the sample data.
4.
Conclusion: Here, Cal x2 > table x2
i.e.,
12.73 > 9.488
So,
we reject H0
Therefore
the coins are biased.
Example
1.4.b(10)
Fit
a binomial distribution for the following data and also test the goodness of
fit.

Solution
:
1.
H0 : Binomial fit is satisfactory.
2.
H1 : Binomial fit is not satisfactory.
3.
To find the binomial distribution N (q+p)n, which fits the given
data we require p.

Converting
E's into whole number such that ΣE = ΣO noiulono
Expected
frequency in each class ≥ 10, Hence regroup.
ΣE
(=ΣO) and p, q was found through its mean
The
values of p and q have been found by using the sample data.
Hence
d.f = v = n – k = n - 2
d.f
= n - 2 = 4 - 2 = 2
Table
x20.05 = 5.99
Cal
x2 = 6.39
4.
Conclusion :
Here
Cal x2 > table x2
i.e.,
6.39 > 5.99
So,
we reject H0
Therefore
the binomial fit is not satisfactory.simonid od ban of
Example
1.4.b(11)
A
survey of 320 families with 5 children each revealed the following
distribution:

Is
this result Consistent with the hypothesis that male and female births are
equally probable ?
Solution
:
1.
H0 : Male and Female births are equally probable gr
2.
H1: Male and Female births are not equally probable
3.
On the assumption H0, the expected frequencies are given by St the
terms of N (q+p)n

d.f
= v = n − 1, since ΣE (=Σ O) has been found using the sample
The
values of p and q have not been found by using the sample data.
4.
Conclusion:
Here,
Cal
x2 < table x2
i.e.,
7.16 < 11.07
So,
we accept H0
i.e.,
make and female births are equally probable.
Example
1.4.b(12)
Twelve
dice were thrown 4096 times and a throw of six was considered a success. The
observed frequencies were as given below :

Test
whether the dice were unbiased.
Solution:
Given: n = 12
1.
H0 : All the dice were unbiased.
i.e.,
P (getting 6) = p = 1 / 6 q = 5 / 6 [': p
+ q = 1]
2.
H1 : All the dice were biased.
3.
The expected frequencies are

Table
x2 = ∑ (O – E)2 / E = 3.76
•
The values of p and q have not been found by using the sample data.
•
Converting E's into whole number such that ΣE = ΣO
•
Expected frequency in each class ≥ 10, Hence regroup.
4.
Conclusion:
Here,
Cal x2 < table x2
i.e.,
3.76 < 12.59
So,
we accept H0
i.e.,
the dice were unbiased..
Example
1.4.b(13)
Fit
a Poisson distribution for the following distribution and also test the
goodness of fit.

Solution
:
1.
H0 : Poisson fit is a good fit.
2.
H1 : Poisson fit is not a good fit.

•
Converting Ei's into whole number such that Σ E = Σ O
•
Expected frequency in each class 10, Hence regroup.
•
ΣE (=ΣO) was found through its mean, Hence d.f = n - 2
4.
Conclusion:
Cal
x2 < table x2
i.e.,
1.09 < 5.99
So,
we accept H0, which assumes that the given distribution is nearly
Poisson.
Example
1.4.b(14)
Fit
a Poisson distribution to the given data and test the goodness of fit at 5
percent level of significance.

Solution
:
1.
H0 : Poisson fit is a good fit.
2.
H1 : Poisson fit is not a good fit.

•
Converting E's into whole number such that Σ E = Σ O.
•
Expected frequency in each class ≥ 10. Hence regroup.
•
ΣE (=ΣO) was found through its mean, Hence d.f = n - 2
4.
Conclusion :
Cal
x2 > table x2
i.e.,
41.04 > 5.991
So,
we reject H0. Hence we conclude that Poisson fit is not a good fit.
Example
1.4.b(15)
Theory
predicts that the proportion of beans in four groups A, B, C, D should be
9:3:3: 1. In an experiment among 1600 beans, the numbers in the four groups
were 882, 313, 287 and 118. Does the experiment support [A.U M/J 2012, M/J
2016]
the
theory?
Solution
:
1.
H0 : The experiment support the theory
2.
H1 : The experiment doesnot support the theory
3.
On the assumption Ho, the expected frequencies are

4.
Conclusion:
Here,
Cal x2 < table x2
i.e.,
4.72 < 7.82
So,
we accept H0
Hence
the experiment support the theory.
Example
1.4.b.(16)

where
there are k set of theoretical and observed values with the total frequencies
n.
Solution
:

EXERCISES 1.4(b)
1.
In an experiment on pea-breeding, Mendal obtained the following frequencies of
seeds: 315 round and yellow, 101 wrinkled and yellow; 108 round and green, 32
wrinkled and green. Total 556. Theory predicts that the frequencies should be
in the proportion 9:3:3: 1 respectively. Set up proper hypothesis and test it
at 10% level of significance.
Ans.
x2 = 0.51. There seems
to be good correspondence between theory and experiment.
2.
Among 64 offsprings of a certain cross between guinea pigs, 34 were red, 10
were black and 20 were white. According to the genetic model these numbers
should be in the ratio 9: 3: 4. Are the data consistent with the model at 5%
level?
[You
are given that the value of x2 with the probability 0.05
being exceeded is 5.99 for 2. d.f. and 3.84 for 1 d.f.]
3.
The following independent observations were made on the price of grain in 10
consecutive months :

Test
the hypothesis that the expected price in the ith month is Rs. (100+3i), i = 1,
2, ... 10 with a standard deviation of Rs. 5 under the assumption that the
prices are normally distributed. noitinilab ya
4.
To test a hypothesis Ho, an experiment is performed 3 times. The resulting
values of chi-square are 2.37, 1.86 and 3.54, each of which corresponds to one
degree of freedom. Show that while Ho cannot be rejected at 5% level on the
basis of any individual experiment, it can be rejected when the three
experiments are collectively counted.
[Hint:
Use additive property of chi-square variates]
5. Test the normality of the following distribution by using x2-test of goodness of fit.

6.
Fit a normal distribution to the following data and test the goodness of fit.

7.
The following data represents the monthly sales (in Rs.) of a certain retail
stores in a leap year. Examine if there is any seasonality in the Just sales.
6100,
5600, 6350, 6050, 6250, 6200, 6300, 6250, 5800, 6000, 6150 and 6150
Statistics and Numerical Methods: Unit I: Testing of Hypothesis : Tag: : Solved Example Problems | Testing of Hypothesis | Statistics - x2-test to test the goodness of fit
Statistics and Numerical Methods
MA3251 2nd Semester 2021 Regulation M2 Engineering Mathematics 2 | 2nd Semester Common to all Dept 2021 Regulation