Electron density is the number of electrons per unit volume in a material. It is determined by using density of states.
DENSITY OF STATES FOR SOLIDS
Definition
Electron
density is the number of electrons per unit volume in a material. It is
determined by using density of states.
Density
of states
In
solid, the total number of electron energy states N with energies upto E is
determined based on quantum mechanics using the following equation

Here,
the volume of the material is represented as a (a being the characteristic
dimension of the solid),
E
- Maximum energy level
m-
mass of an electron
h
- Planck's constant.
Number
of energy states per unit volume

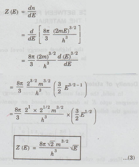
Density
of states function Z (E) is obtained after taking the derivative of this
expression with respect to energy (dn/dE)
This
function gives the number of available electron energy states per unit volume
per unit energy.

In
a conductor at 0 K, the electron distribution goes from
zero
energy upto Fermi energy EF.
So,
the number of free electrons per unit volume, or electron density, in a bulk
conductor at 0 K using eqn (2).

The
minute size of the nanomaterials gives unique electronic properties. One of the
major ways in in which small-volume materials differ from bulk solids is the
number of available energy states.
Physics for Electrical Engineering: Unit V: Nano Devices : Tag: : Nano Devices - Density of states for solids
Physics for Electrical Engineering
PH3202 2nd Semester 2021 Regulation | 2nd Semester EEE Dept 2021 Regulation