Since the space - charge polarisation is very small and it is neglegible.
TOTAL
POLARISATION
ɑ = ɑ e + ɑ i + ɑ 0
Since
the space - charge polarisation is very small and it is neglegible.
Substituting
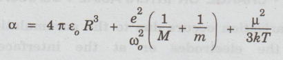
the corresponding expressions for αe , ɑ i ,and α0 we have

We
know that total polarisation, P = N ɑ E
Substituting
for ɑ, we have

This
equation is known as Langevin - Debye equation.
Physics for Electrical Engineering: Unit I: Dielectric Materials and Insulation : Tag: : Langevin Debye equation - Total Polarisation
Physics for Electrical Engineering
PH3202 2nd Semester 2021 Regulation | 2nd Semester EEE Dept 2021 Regulation