Statistics and Numerical Methods : Short Questions and Answers. : Short Questions and Answers
SHORT QUESTIONS AND ANSWERS
1.
State Newton's formula to find f'(x) and f'(x) using the forward differences.
[M.U.
Oct., 1995,A.U N/D 2009, Trichy A/M 2010] [A.U CBT N/D 2011, CBT A/M 2011]
Solution:
Let,
y = f (x) be a function taking the values y0, y1, … yn
corresponding to x0, x1, … yn of the
independent variable x. Let the values of x be at equidistant intervals of size
h.

2.
Find dy / dx at x = 1 from the following table : [MU April 96]

Solution:
The
forward difference table is as follows.

3.
Fill in the blank :
Numerical
differentiation can be used only when the difference of some order …..
Solution:
Numerical differentiation can be used only, if it is clear from the tabulated
values that differences of some order are constant.
4.
If f(x) = a× (a ≠ 0), is given for x = 0, 0.5, 1 show by numerical
differentiation that f'(0) = 4√a-a-3
Solution:
For x = 0, 0.5, 1, the values of f (x) = ax are respectively ao,
a0.5,
a1 (i.e.,) 1, √a, a
The
formal difference table is as follows:

5.
Using forward differences, the formula for f' (a).

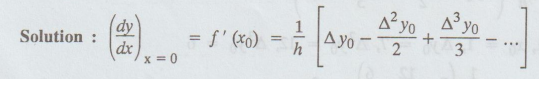
6.
Write the formula for dy / dx at x = xo using forward difference operator.
Solution
:

7.
Using Newton's backward difference formula, write the formulae for the first
and second order derivatives at the end values x = xn upto the fourth order
difference term. [A.U. A/M 2004] [A.U Tvli M/J 2010, CBT N/D 2010] [A.U CBT N/D
2011] [A.U N/D 2006, N/D 2010, M/J 2014] [A.U A/M 2015 R-8]
Solution
:

Statistics and Numerical Methods: Unit IV: Interpolation, numerical differentiation and numerical integration : Tag: : Approximation of derivatives using interpolation polynomials - Short Questions and Answers
Statistics and Numerical Methods
MA3251 2nd Semester 2021 Regulation M2 Engineering Mathematics 2 | 2nd Semester Common to all Dept 2021 Regulation