Inductors can be connected either in series or parallel or combination of both. Here it is assumed that the inductors are connected electrically and isolated magnetically i.e., there is no magnetic coupling between the elements.
GROUPING
OF INDUCTORS
Inductors
can be connected either in series or parallel or combination of both. Here it
is assumed that the inductors are connected electrically and isolated
magnetically i.e., there is no magnetic coupling between the elements.
Case 1: Introductions in series
Let
L1 and L2 be the two linear time variant inductors in
series. Let V be the voltage applied and be the current flowing.

The
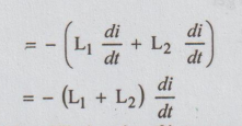
self induced emf in L1 = e1 = -L1 dt / di
The
self induced emf in = L2 = e2 = -L2 di / dt
The
total self induced emf = e1 + e2

According
to Lenz's law, this self induced emf is to oppose the applied voltage i,e.,
-
(L1 + L2) di / dt = –V
⇒ (L1+L2)di/dt =
– V....(i)
If
L be the equivalent of the above series combination, the induced emf in it
=
–L di / dt
Therefore,
L di/dt = V .....(ii)
From
equation (i) and (ii) we write that
L
di/dt = (L1 + L2) di/dt
L
= (L1 + L2)
Thus,
the inductors in series can be added to obtain the equivalent single inductor.
Case 2: Inductors in parallel

From
the parallel combination, the voltage across L1 = the across L2
= the applied voltage.
i,e.
L1
di1 / dt = L2 di2/dt = V ... (i)
di1/dt
= V/L1 and di2/dt = V/ L2 ......(ii)
But
by KCL, i = i1 + i2 ...(iii)
Differentiating
on both sides of equation (iii), we get

Note:
If 'n' inductors are in parallel,
1/L
=1/L1 +1/L2 +1/L3+.....1/Ln
Electric Circuit Analysis: Unit I: a. Introduction : Tag: : in series and parallel - Grouping of inductors
Electric Circuit Analysis
EE3251 2nd Semester 2021 Regulation | 2nd Semester EEE Dept 2021 Regulation