Solving the equation dy / dx = f1(x,y,z) and dz/dx = f2(x,y,z) with the initial conditions y (x0) = y0, z (x0) = z0
4. R-K METHOD FOR
SIMULTANEOUS FIRST ORDER DIFFERENTIAL EQUATION
Solving
the equation dy / dx = f1(x,y,z) and dz/dx = f2(x,y,z) with
the initial conditions y (x0) = y0, z (x0) = z0
[Here,
x is independent variable, while y and z are dependent variable]
Now,
starting from (x0, y0, z0) the increments, Δy
and Δz in y and z respectively are given by formulae.

1.
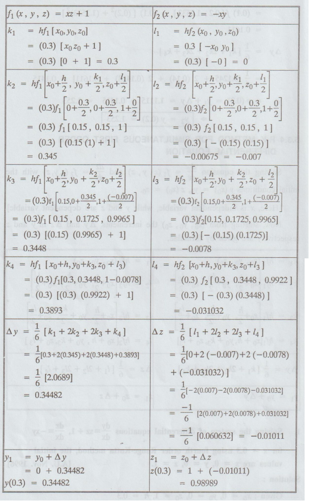
Solving the system of differential equations dy/dx xz + 1, dz / dx = -xy for x
= 0.3 using fourth order Runge-Kutta method, the initial values are x = 0, y =
0, z = 1.
Solution
:
Given
: x0 = 0, y0 = 0, z0
= 1, h = 0.3

2.
Solve for y (0.1) and z (0.1) from the simultaneous differential equations dy /
dx 2y + z; dz / dx = y - 3z; y (0) = 0, z (0) = 0.5 using Runge-Kutta method of
the fourth order.
Solution:
Given:
x0 = 0, y0 = 0, z0 = 0.5, h = 0.1

Statistics and Numerical Methods: Unit V: Numerical Solution of Ordinary Differential Equations : Tag: : Solved Example Problems - R-k method for simultaneous first order differential equation
Statistics and Numerical Methods
MA3251 2nd Semester 2021 Regulation M2 Engineering Mathematics 2 | 2nd Semester Common to all Dept 2021 Regulation