Statistics and Numerical Methods : Unit - V : Numerical solution of ordinary differential Equations : Short Questions and Answers
SHORT QUESTIONS AND ANSWERS
1.
Write down Euler's algorithm to the differential equation dy/dx = f(x, y). [A.U M/J 2000, N/D 2011, M/J 2013] [A.U N/D
2016 R-13]
Solution
:
yn
+1 = yn + hf (xn, yn) when n = 0, 1, 2,…
This
is Euler's algorithm. It can also be written as
y
(x + h) = y (x) + hf (x, y)
2.
State True or False.
In
Euler's method, if h is small, the method is too slow and if h is large, it
gives inaccurate value.
Solution
:
The
statement is true.
3.
State modified Euler formula. [A.U A/M 2019 R-13, N/D 2019 R-13]
State
modified Euler's algorithm to solve y' = f(x, y), y (x0) = y0
at x = x0 + h. [M.U. Oct. 95, A.U CBT M/J 2010]
[A.U
CBT N/D 2011, N/D 2011, M/J 2012] [A.U N/D 2017 R-13]
Solution:

4.
Say True or False. The modified Euler method is based on the average of points.
Solution
:
The
statement is true.
5.
Write the truncation error of the Euler's method.
Solution:

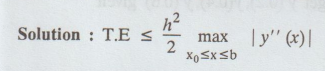
6.
Write the bound on the truncation error of the Euler's method.
Solution:

7.
State Euler's formula.
Solution
:
yn
+1 = yn + hf (xn, yn) when n = 0, 1, 2,
...
8.
Find y (0.2) for the equation y = y + ex, given that y (0) = 0 by using Euler's
method.
Solution:
Given:
f(x, y) = y + ex, x0 = 0, y0 = 0, h = 0.2
By
Euler's algorithm,
y1
= y0 + hf (x0, y0)
=
0 + 0.2f(0, 0) = 0.2 [0+ e0] = 0.2
i.e.,
y (0.2) = 0.2
9.
What do you do in improved and modified Euler methods?
Solution
:
Improved
Euler: We average slopes
Modified
Euler: We average points. Euler
10.
Using Euler's method, find y at x=0.1, if y' = 1 + xy given that y (0) = 2
[A.U N/D 2019 (R17)] [A.U A/M 2018 (R13)]
Solution
:
y'
= f(x, y) = 1 + xy
Here,
x0 = 0, y0 = 2, x1 = 0.1, h = 0.1
Euler's
algorithm,
y1
= y0 + hf (x0, y0) = 2+ (0.1) [1 + x0y0]
=
2 + (0.1) [1 +0] = 2 + 0.1 = 2.1
Statistics and Numerical Methods: Unit V: Numerical Solution of Ordinary Differential Equations : Tag: : Euler and Modified Euler - Short Questions and Answers
Statistics and Numerical Methods
MA3251 2nd Semester 2021 Regulation M2 Engineering Mathematics 2 | 2nd Semester Common to all Dept 2021 Regulation